Laatste update :
18/03/2026
Antibioticum   Netilmicin sulfate   
Aerosol
injecteerbaar geneesmiddel
Stabiliteit van farmaceutische preparaten Stabiliteit in mengsels Factoren die de stabiliteit beïnvloeden Verenigbaarheden Literatuur pdf
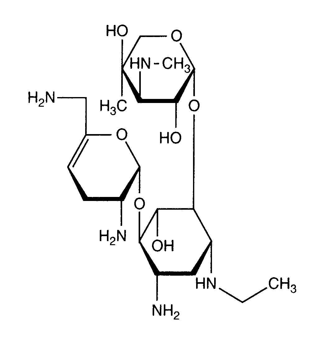
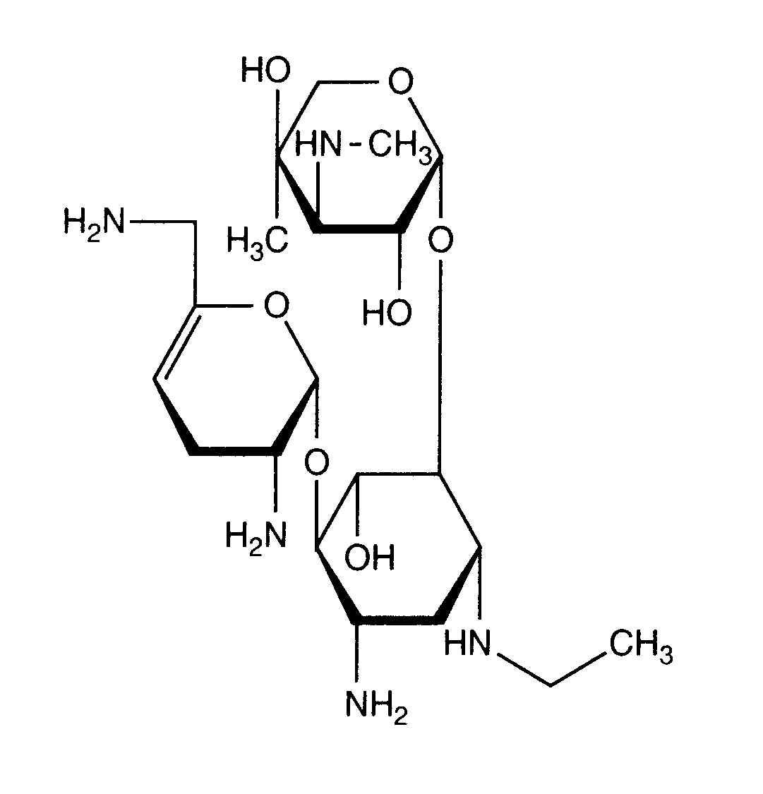
   Molecuulstructuur  

Aerosol
Stabiliteit van farmaceutische preparaten   Aerosol   Stabiliteit van farmaceutische preparaten : Netilmicin sulfate      
geen gegevens

  Mentions Légales