Letztes “update” :
17/12/2025
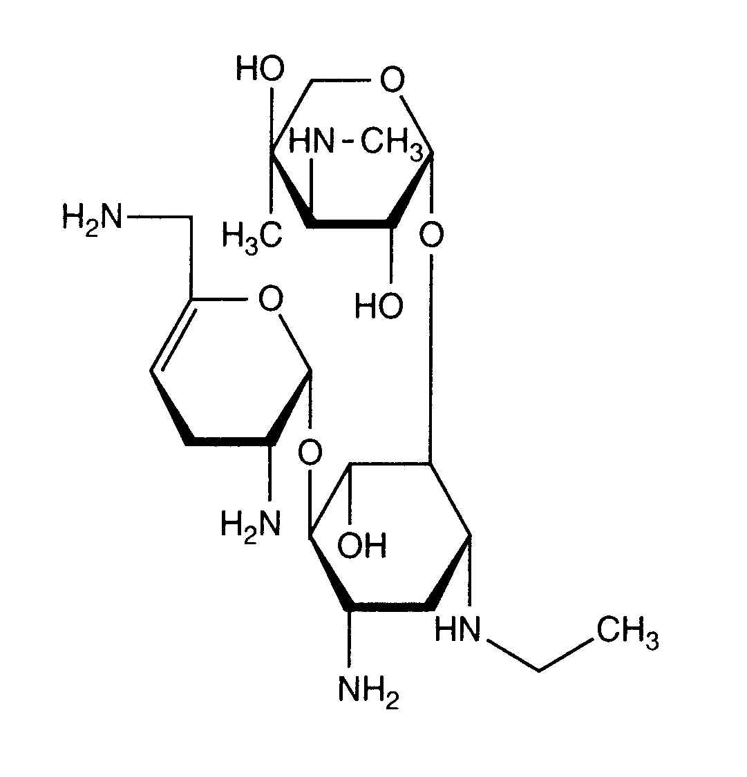
Antibiotikum   Netilmicin sulfate   
Aerosol
Injektion
Stabilität von pharmazeutischen Präparaten Gemengestabilität Stabilitätbeeinflussende Faktoren Kompatibilitäten Literaturverzeichnis pdf
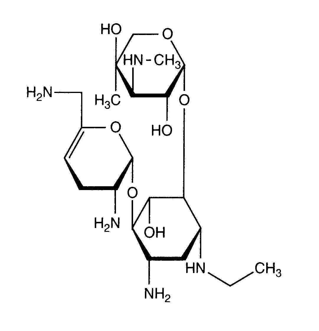
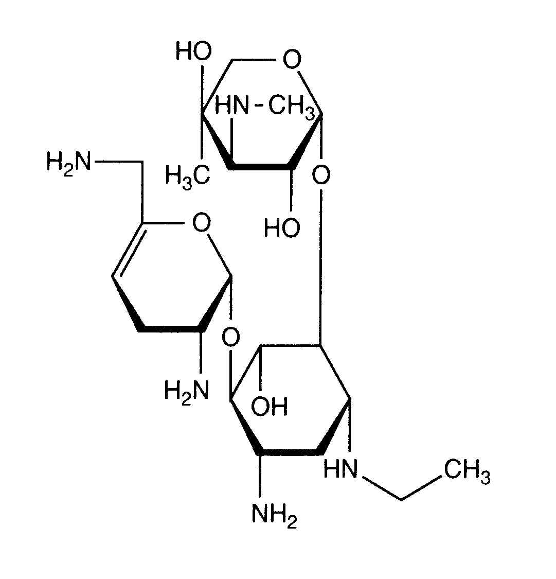
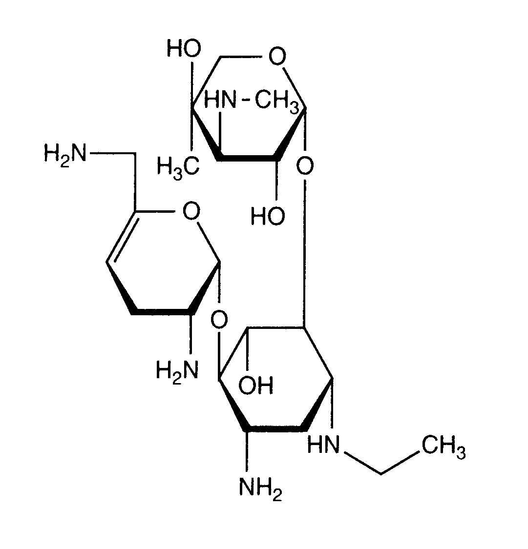
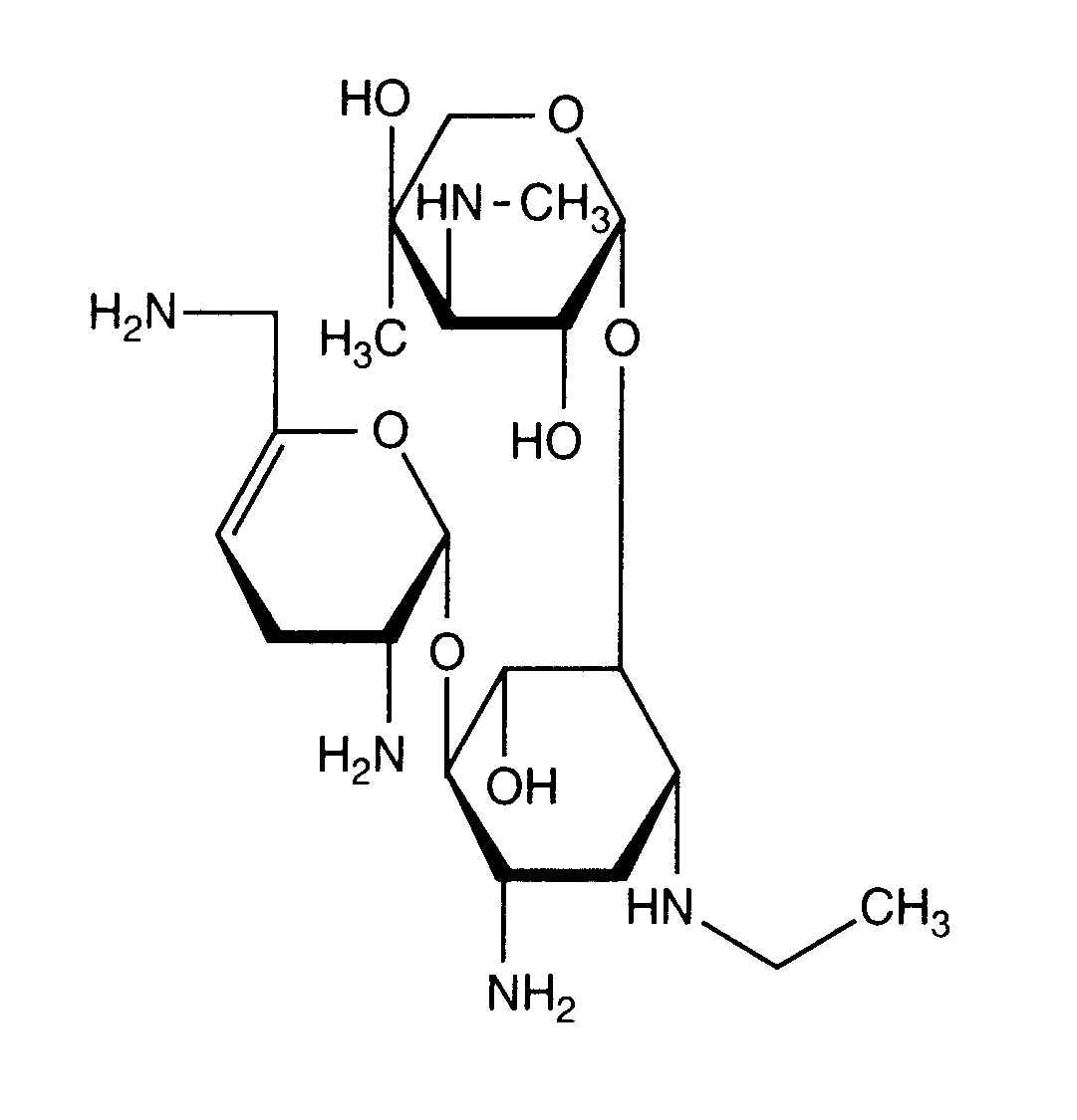
   Chemische Struktur  

Aerosol
Stabilität von pharmazeutischen Präparaten   Aerosol   Stabilität von pharmazeutischen Präparaten : Netilmicin sulfate      
Keine Daten

  Mentions Légales