Zadnji put ažurirano :
17/12/2025
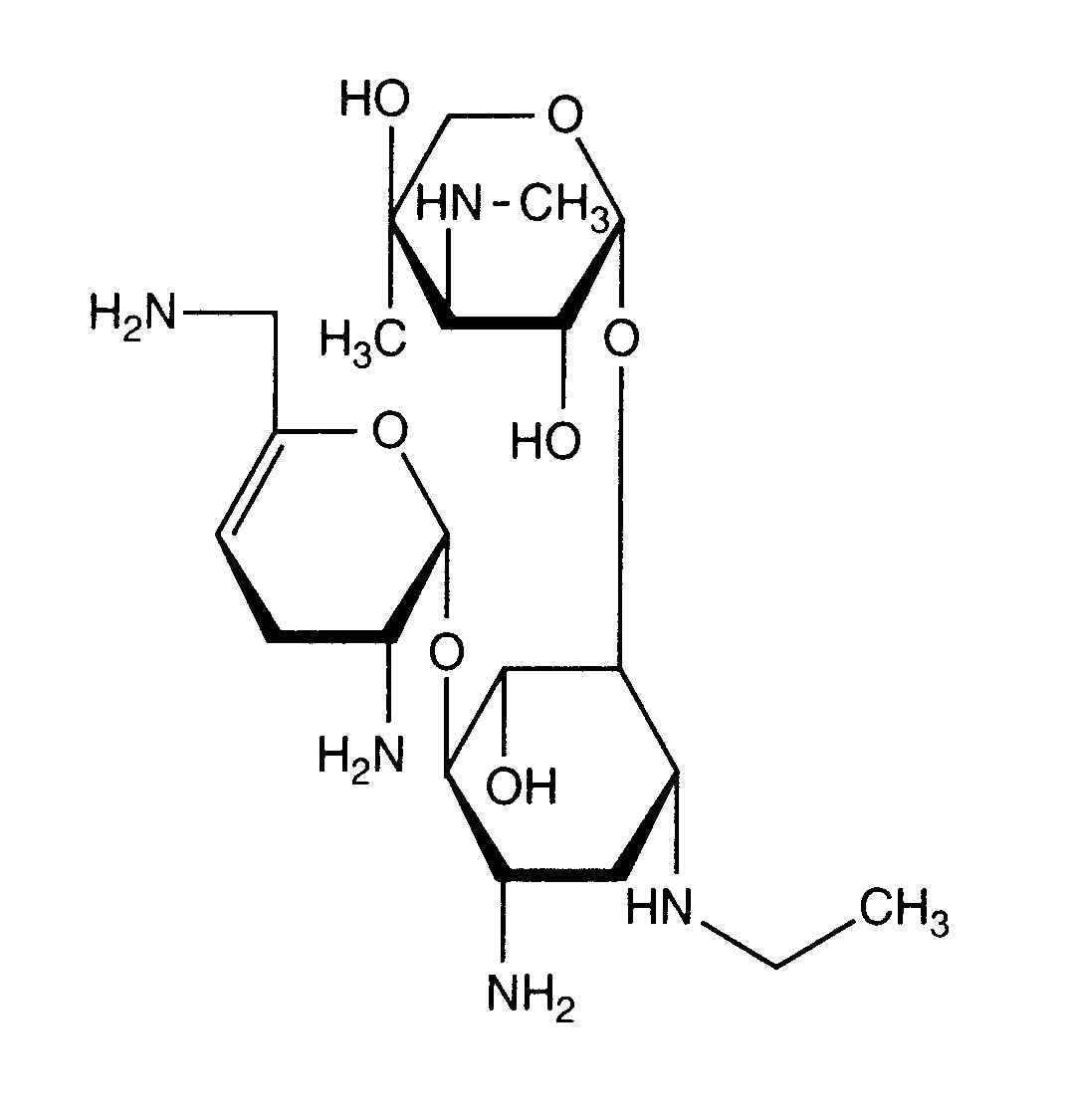
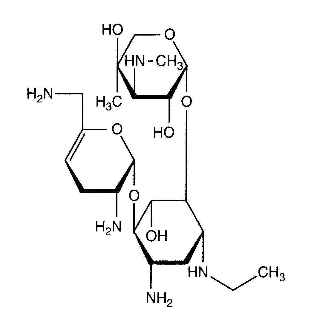
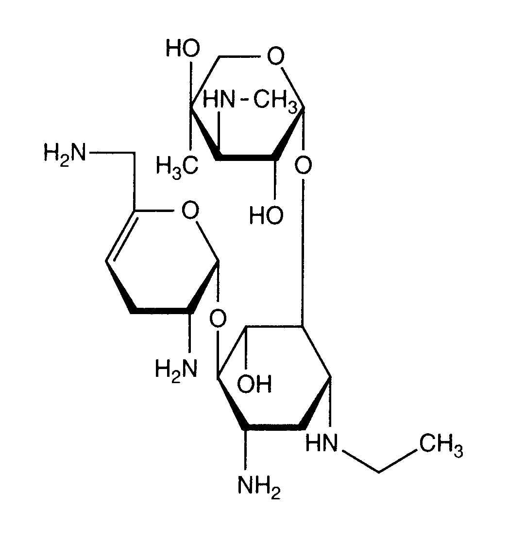
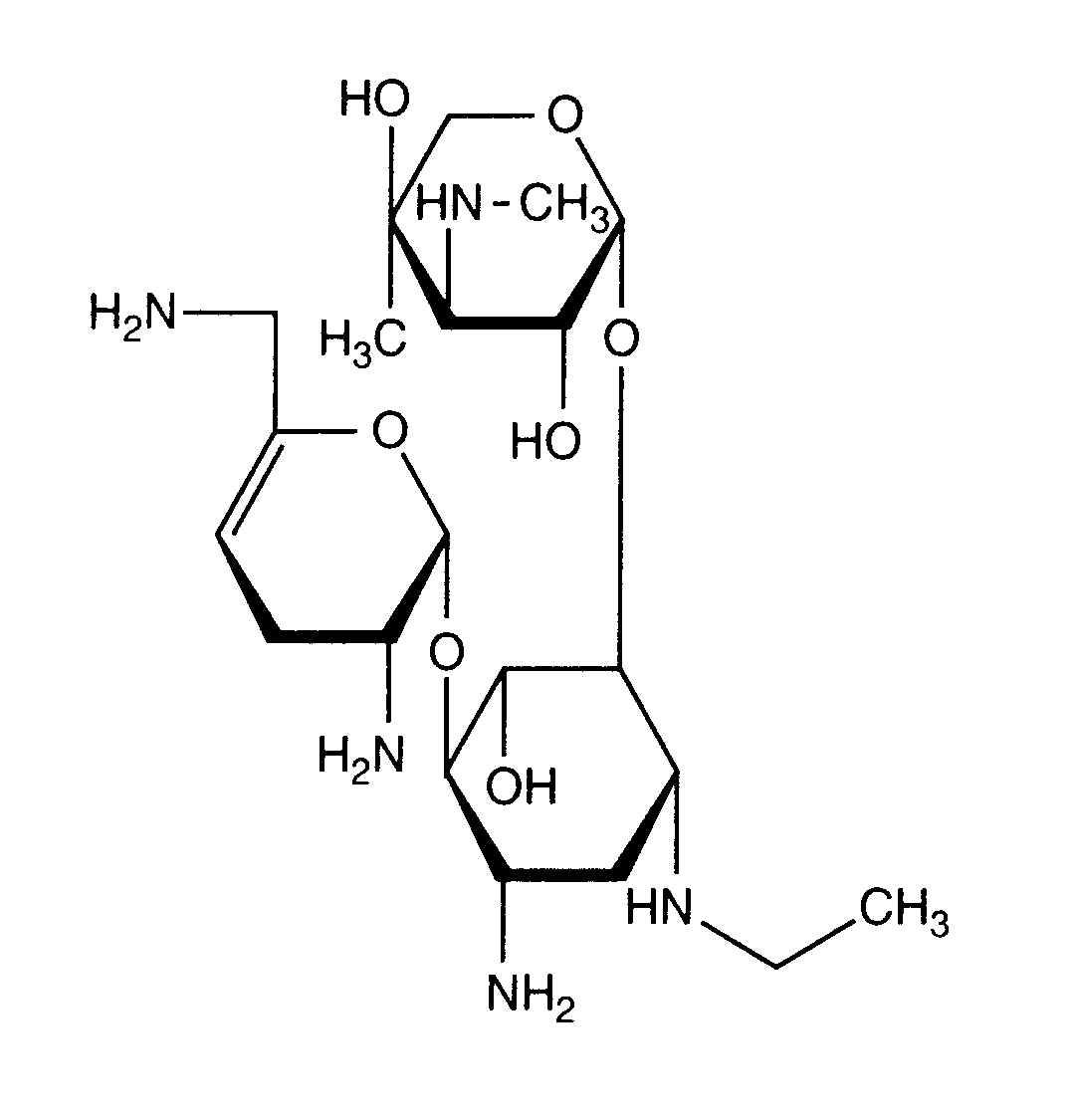
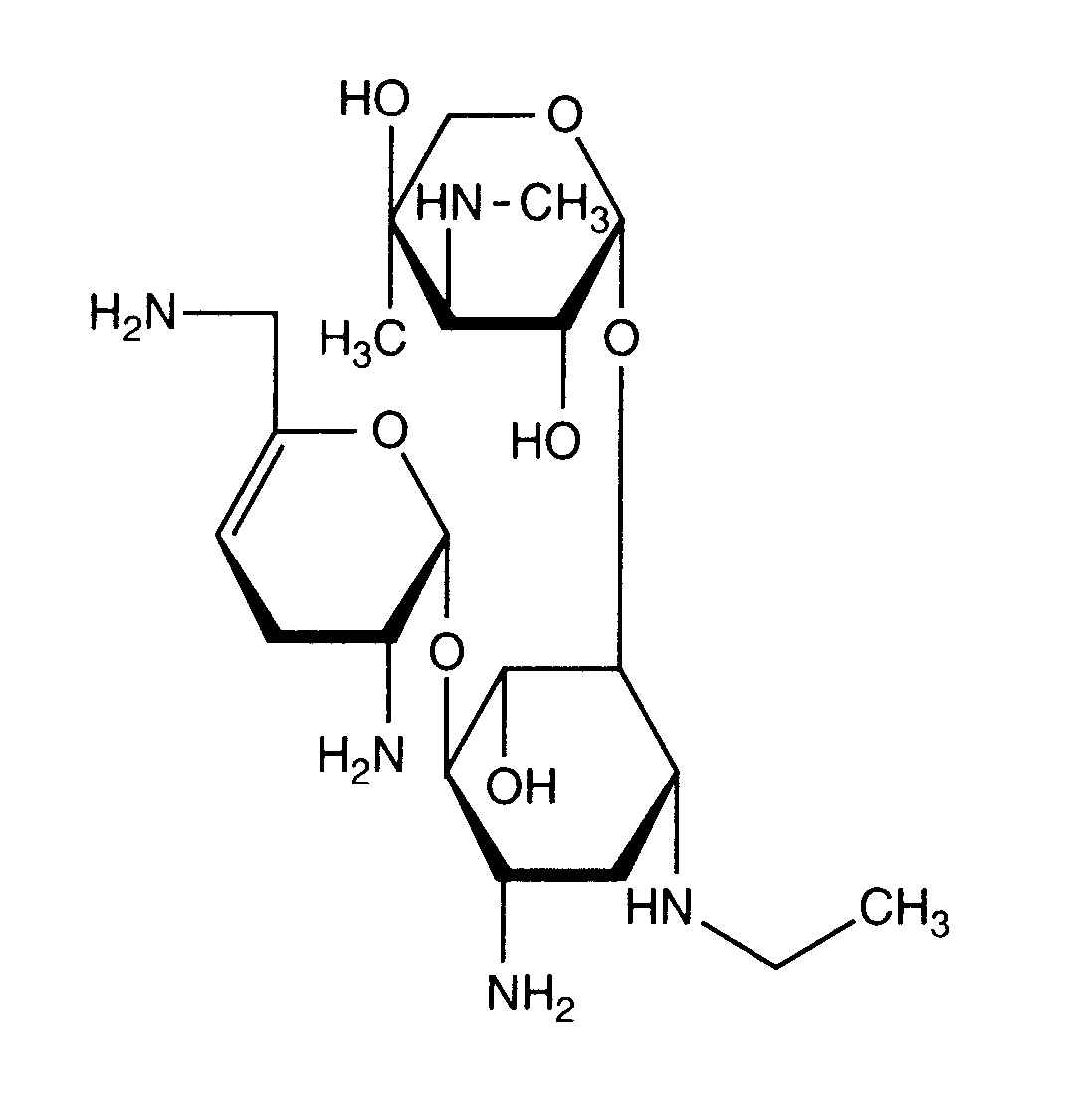
antibiotik   Netilmicin sulfate   
aerosol
injekcija
Stabilnost farmaceutskih pripravaka Stabilnost mješavine Stabilizacijski faktor Kompatibilnosti Bibliografija pdf
   Kemijska struktura  

aerosol
Stabilnost farmaceutskih pripravaka   aerosol   Stabilnost farmaceutskih pripravaka : Netilmicin sulfate      
bez podataka

  Mentions Légales