Viimeisin päivitys :
18/03/2026
Antibiootit   Netilmicin sulfate   
Aerosoli
Injektioneste
Vakaus lääkevalmisteen Stabilius seoksissa Tekijät, jotka vaikuttavat stabiliuteen Yhteensopivuus Viitteet pdf
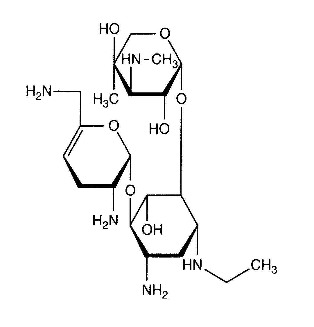
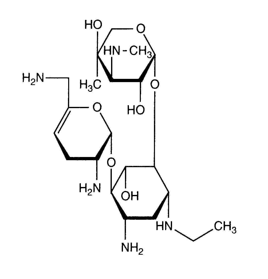
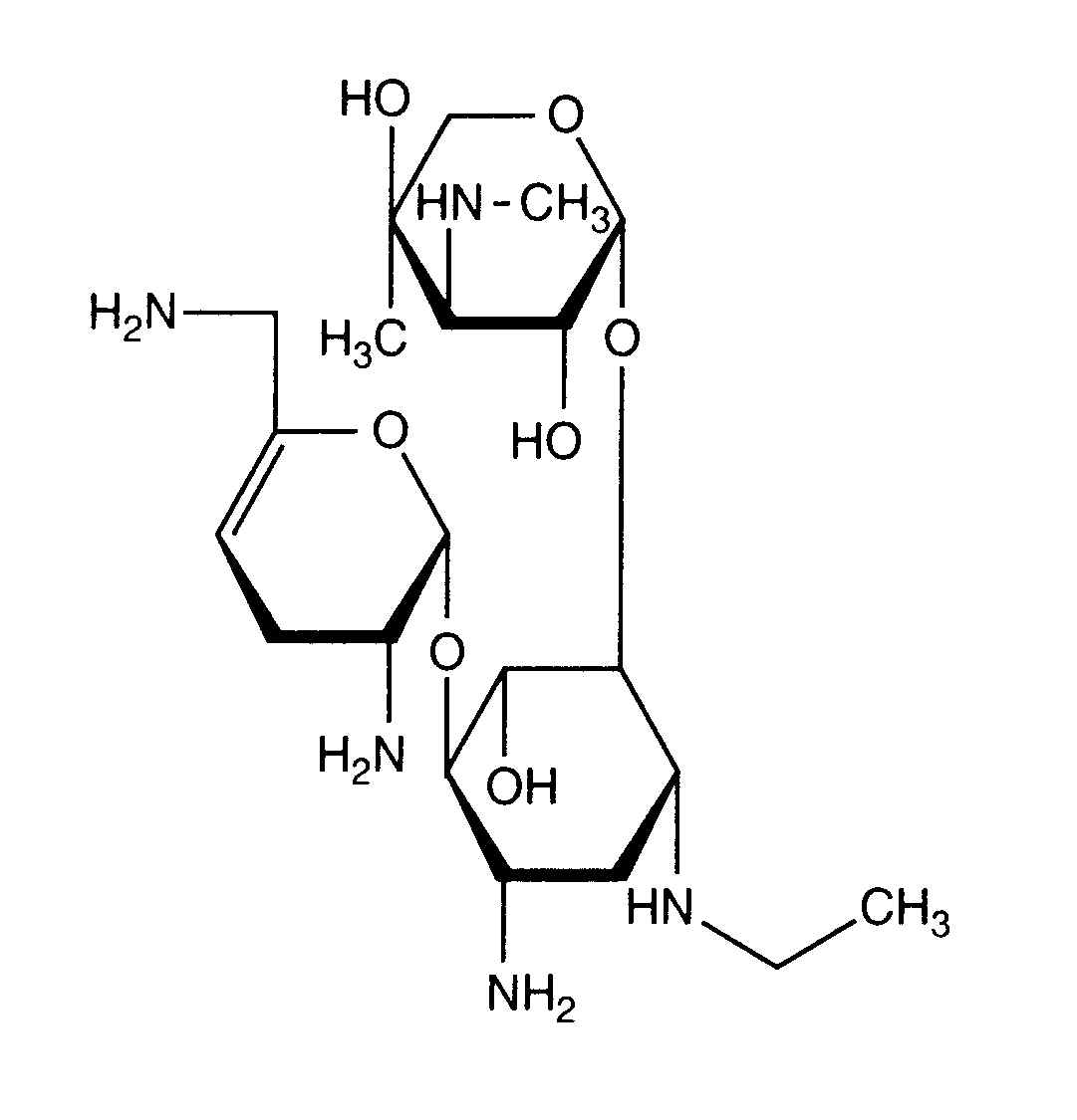
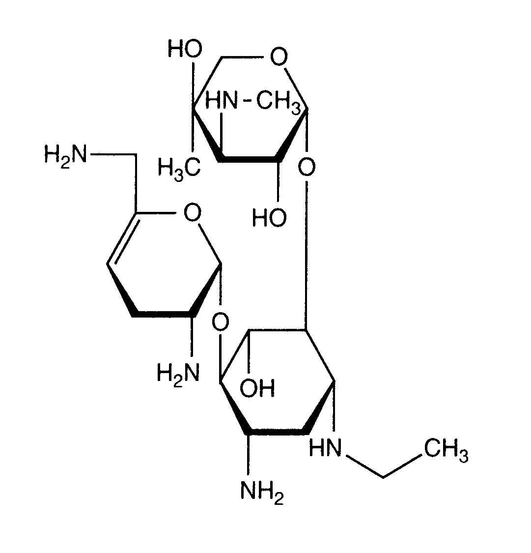
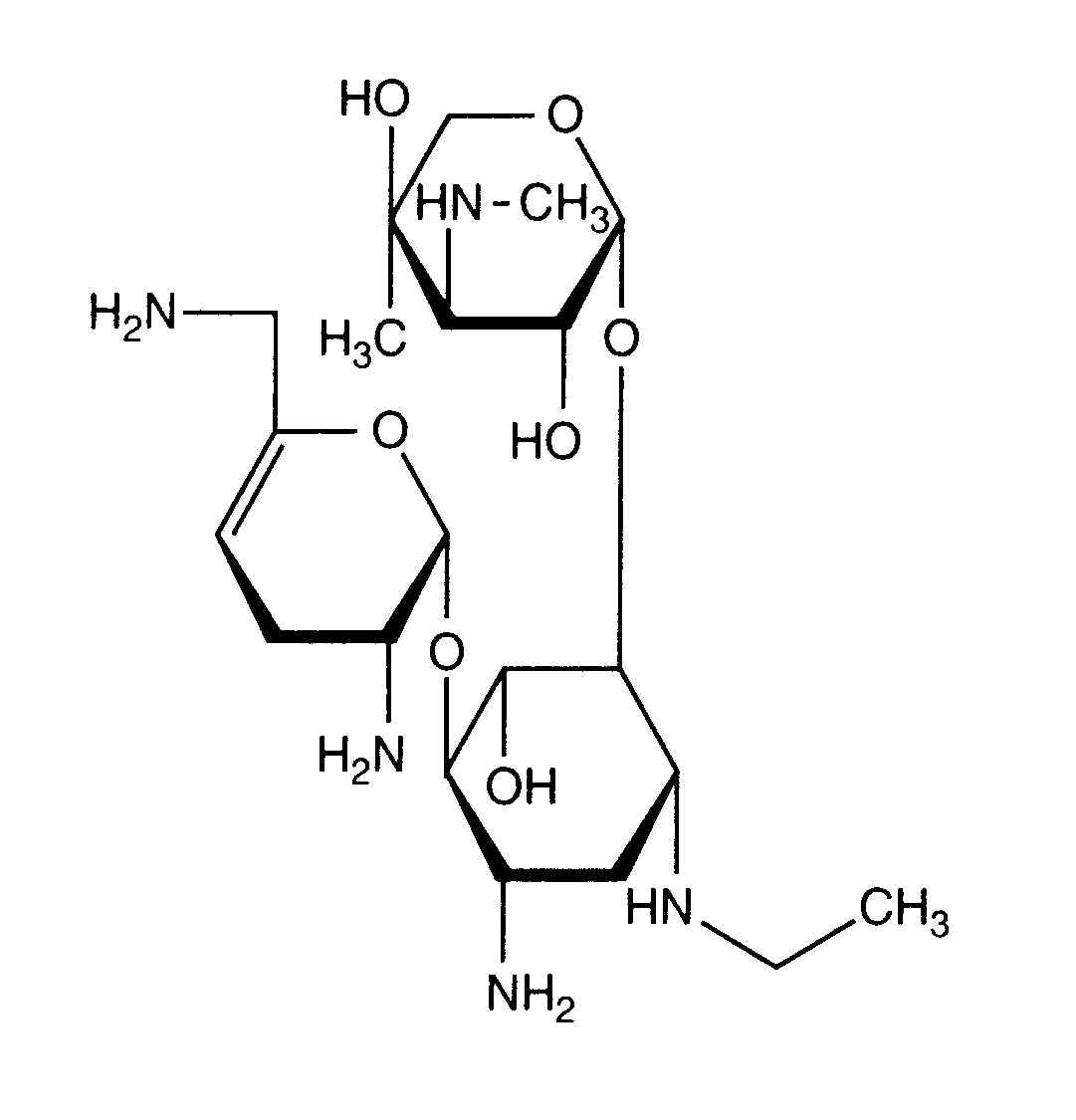
   Kemiallinen rakenne  

Aerosoli
Vakaus lääkevalmisteen   Aerosoli   Vakaus lääkevalmisteen : Netilmicin sulfate      
ei tietoa

  Mentions Légales