Poslední aktualizace :
18/03/2026
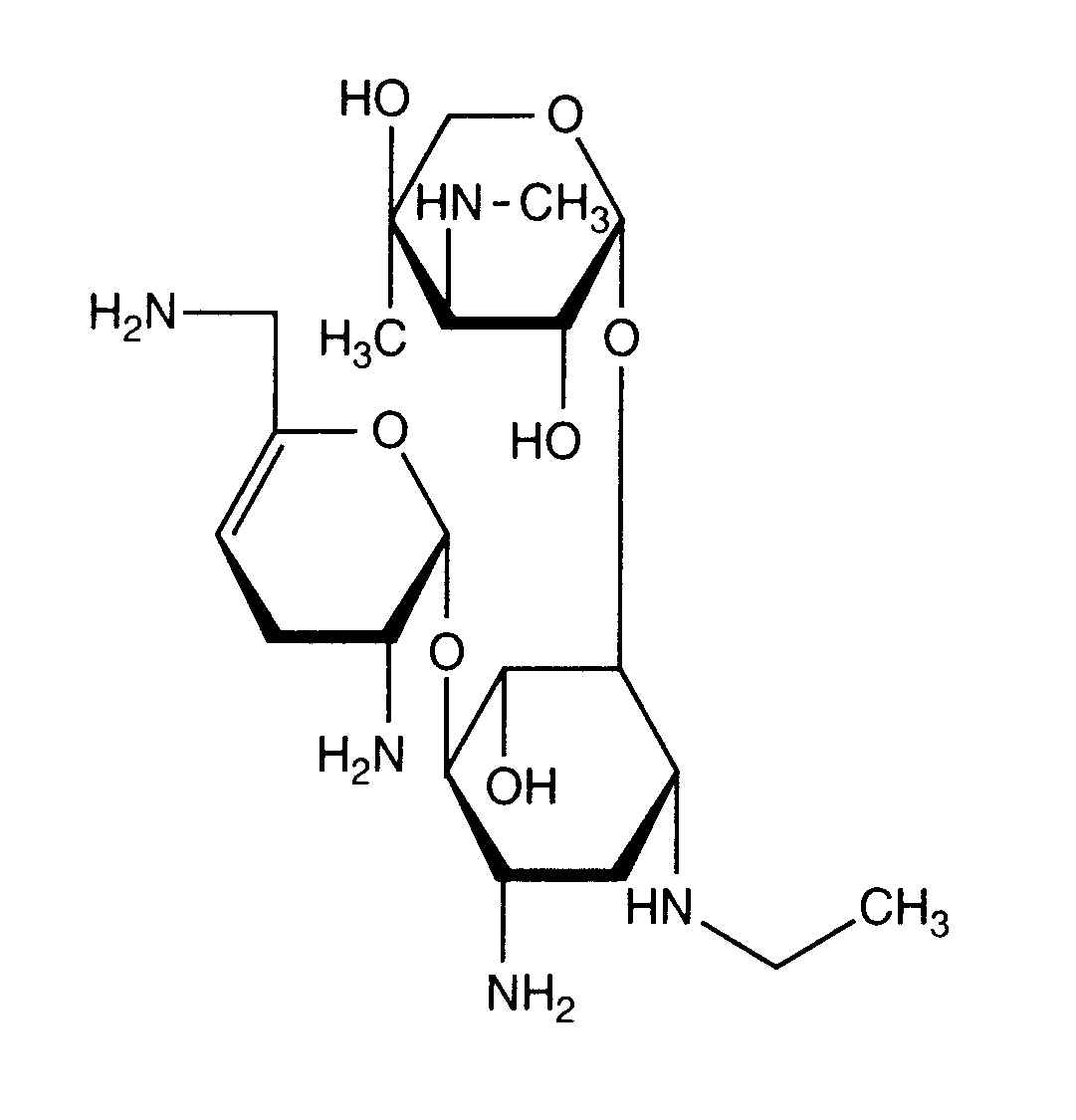
Antibiotikum   Netilmicin sulfate   
Aerosol
injekce
Stabilita farmaceutických přípravků Stabilita směsí Faktory ovlivňující stabilitu Kompatibilita Odkazy pdf
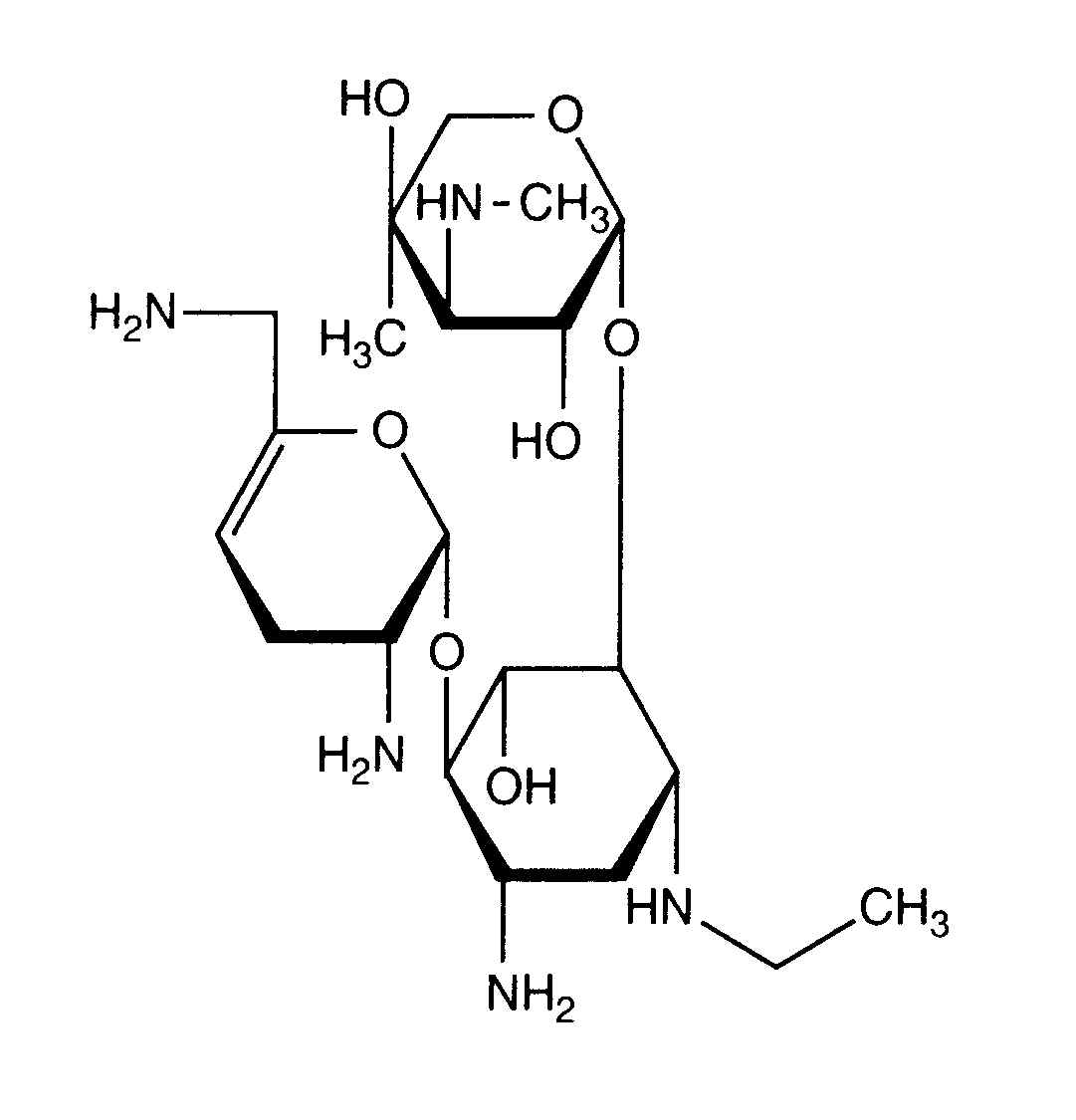
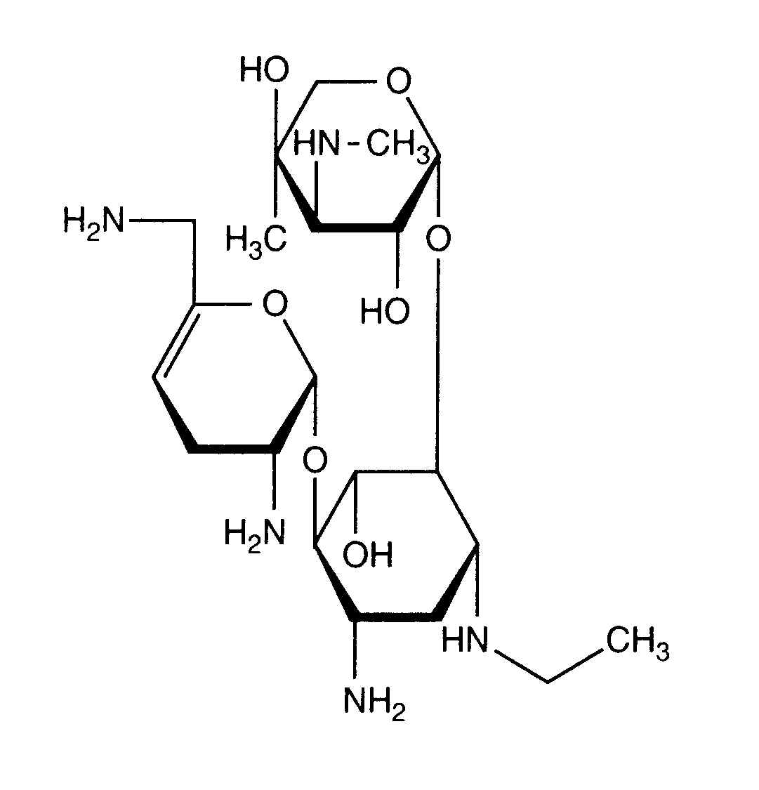
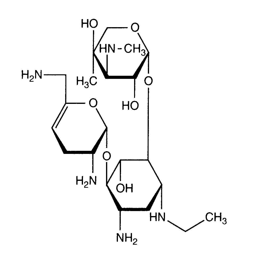
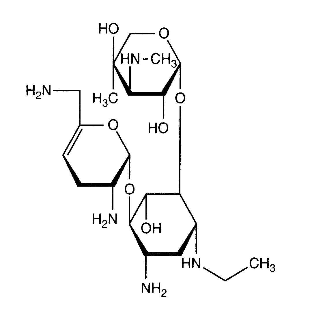
   Chemický vzorec  

Aerosol
Stabilita farmaceutických přípravků   Aerosol   Stabilita farmaceutických přípravků : Netilmicin sulfate      
žádná data

  Mentions Légales