zadnja posodobitev :
18/03/2026
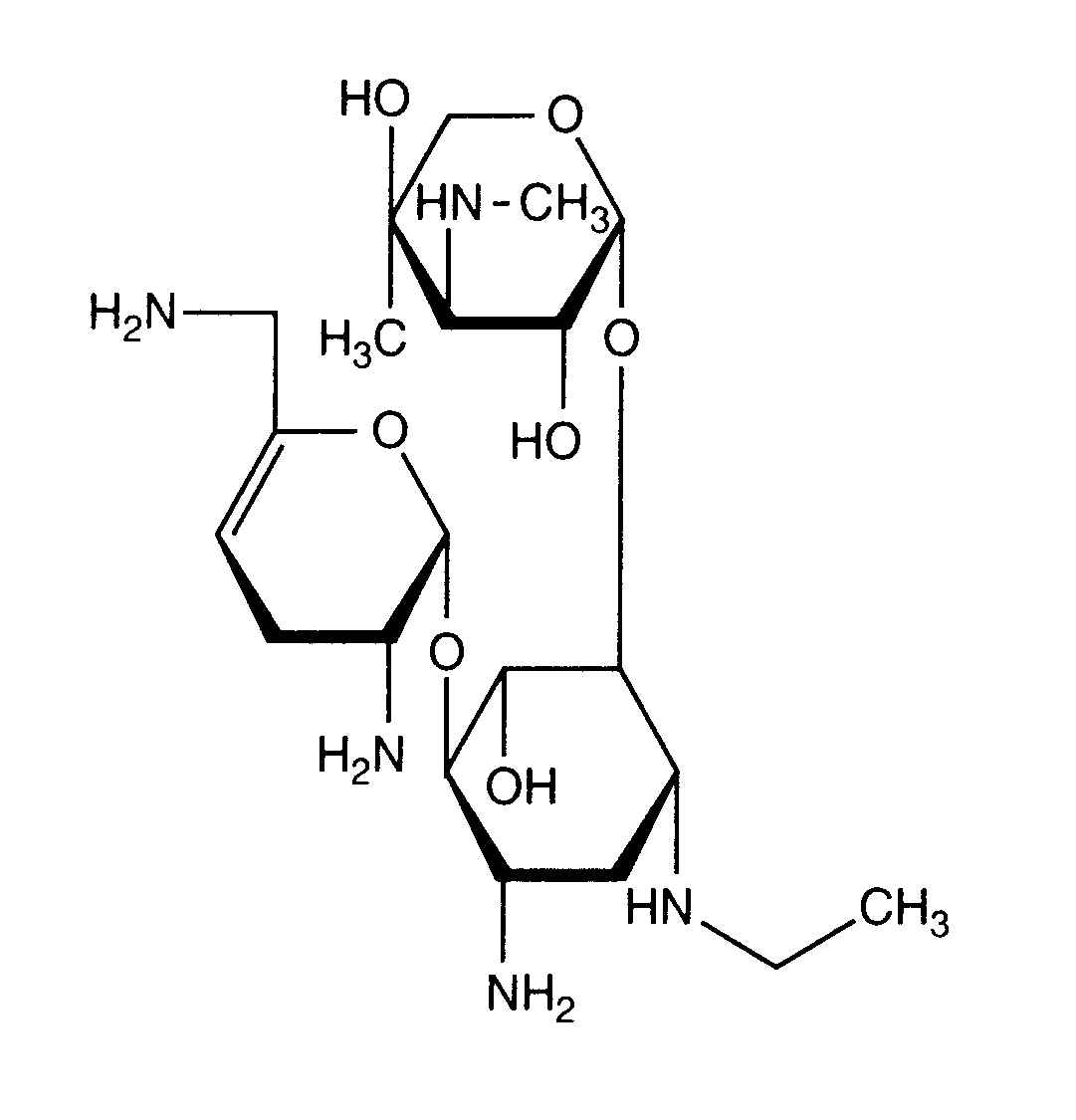
Antibiotik   Netilmicin sulfate   
Aerosol
Brizgalka
Stabilnost farmacevtskih preparatov Stabilnost mešanice Faktorji, ki vplivajo na stabilnost Kompatibilnost Viri pdf
   Kemična formula  

Aerosol
Viri   Aerosol   Viri : Netilmicin sulfate   
Tip objava
2648 časopis Rieutord A, Arnaud P, Dauphin JF, Brion F.
Stability and compatibility of an aerosol mixture including N-acetylcysteine, netilmicin and betamethasone
Int J Pharm 1999 ; 190, 1: 103-107.

  Mentions Légales