Ostatnia aktualizacja :
18/03/2026
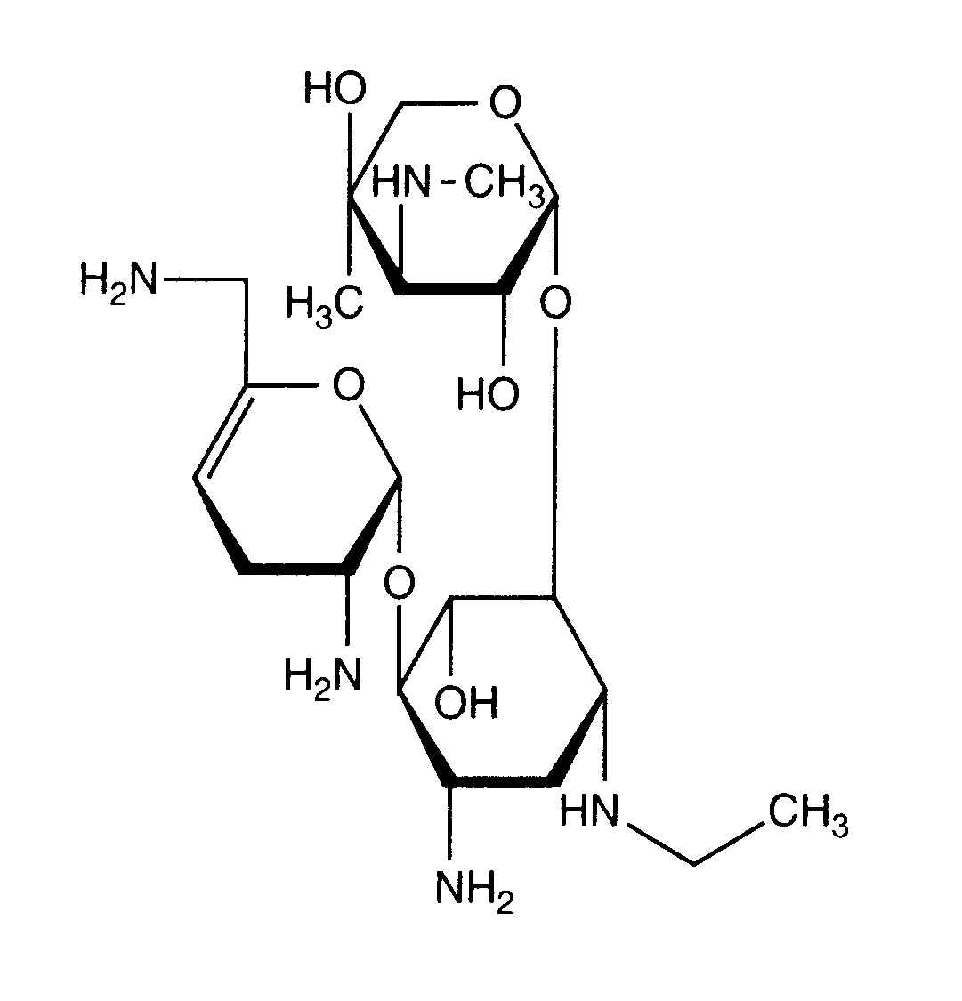
Antybiotyk   Netilmicin sulfate   
Aerozol
Injekcje
Stabilność preparatów farmaceutycznych Trwałość w mieszaninie Czynnik wpływający na trwałość Zgodność Bibliografia pdf
   Struktura chemiczna  

Aerozol
Bibliografia   Aerozol   Bibliografia : Netilmicin sulfate   
typ publikacja
2648 Czasopismo Rieutord A, Arnaud P, Dauphin JF, Brion F.
Stability and compatibility of an aerosol mixture including N-acetylcysteine, netilmicin and betamethasone
Int J Pharm 1999 ; 190, 1: 103-107.

  Mentions Légales