Posledná aktualizácia :
18/03/2026
antibiotikum   Netilmicin sulfate   
Aerosól
Injekcia
Stabilita farmaceutických prípravkov Stabilita v zmesiach Faktory ovplyvňujúce stabilitu Kompatibility Odkazy na literatúru PDF
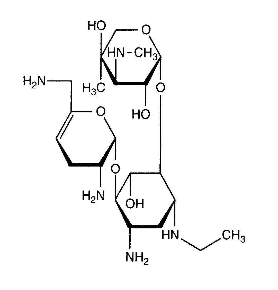
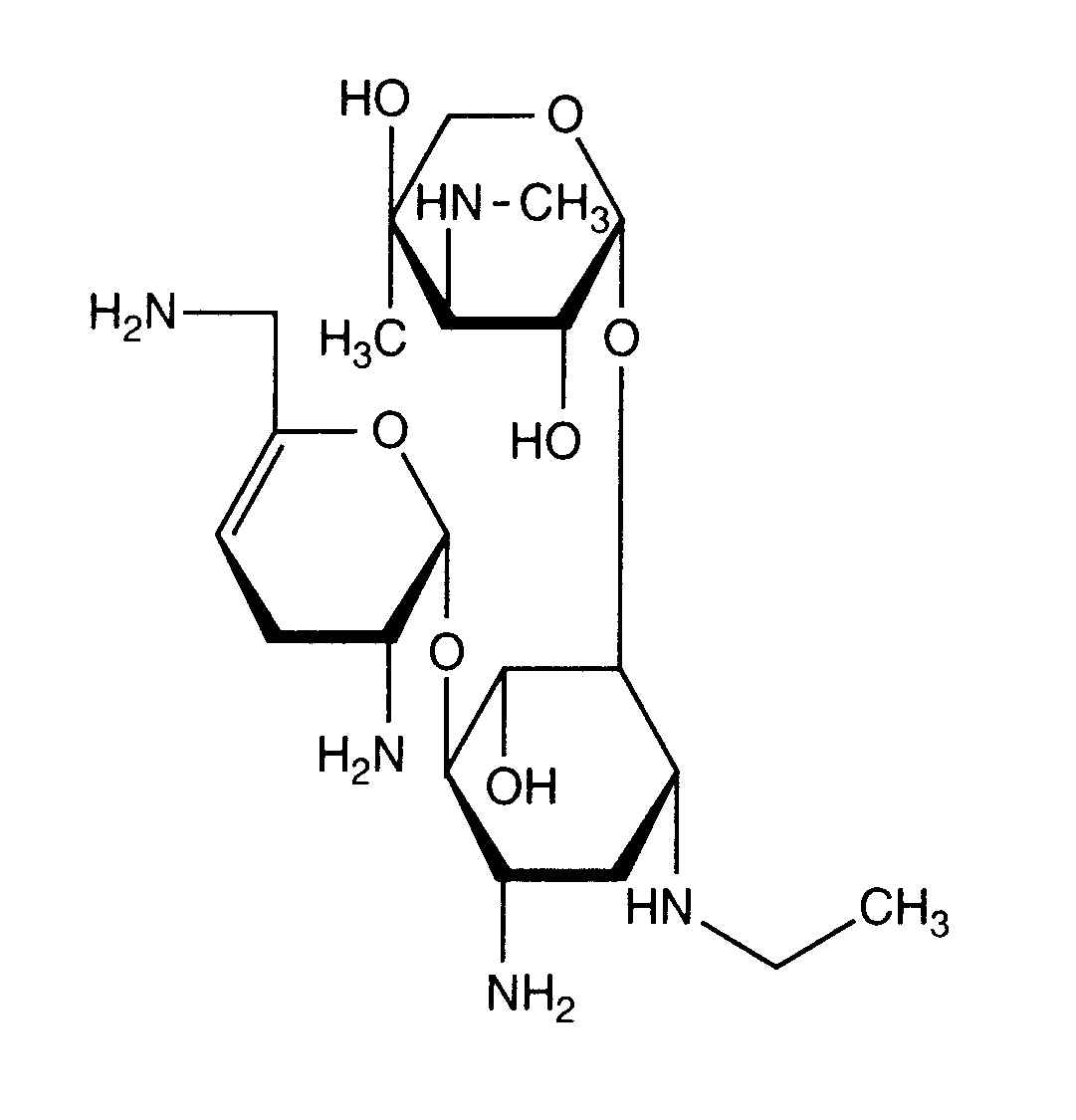
   Chemický vzorec  

Aerosól
Odkazy na literatúru   Aerosól   Odkazy na literatúru : Netilmicin sulfate   
Typ Publikácia
2648 Časopis Rieutord A, Arnaud P, Dauphin JF, Brion F.
Stability and compatibility of an aerosol mixture including N-acetylcysteine, netilmicin and betamethasone
Int J Pharm 1999 ; 190, 1: 103-107.

  Mentions Légales