Siste oppdatering :
18/03/2026
Antibiotika   Netilmicin sulfate   
Aerosol
Injeksjon
Stabilitet av farmasøytiske preparater Stabilitet i blandinger Faktorer som påvirker stabiliteten Kompatibilitet Referanser pdf
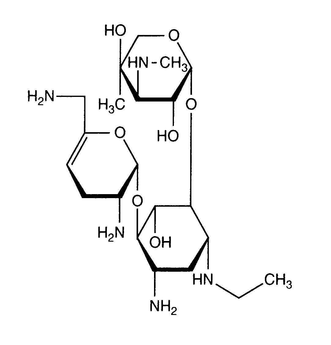
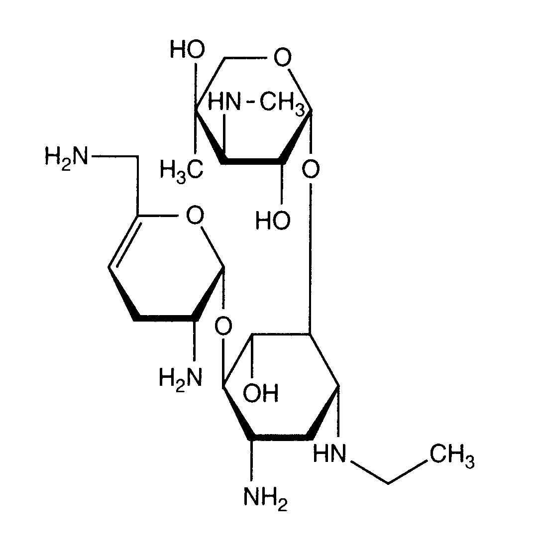
   Kjemisk struktur  

Aerosol
Referanser   Aerosol   Referanser : Netilmicin sulfate   
Type publikasjon
2648 Journal Rieutord A, Arnaud P, Dauphin JF, Brion F.
Stability and compatibility of an aerosol mixture including N-acetylcysteine, netilmicin and betamethasone
Int J Pharm 1999 ; 190, 1: 103-107.

  Mentions Légales