viimane versioon :
18/03/2026
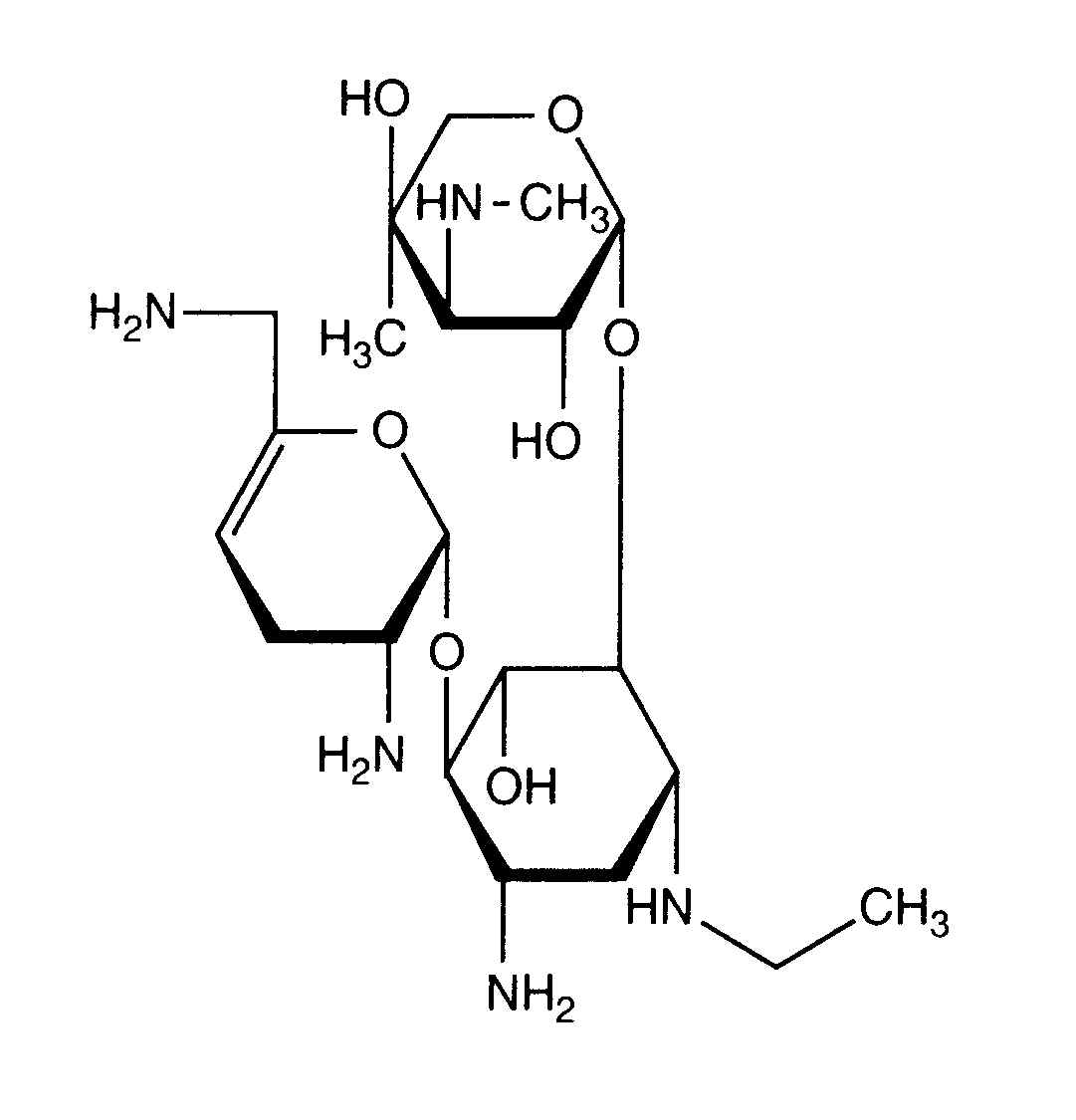
antibiootikum   Netilmicin sulfate   
aerosool
Süsteravim
Stabiilsust ravimpreparaadid Stabiilsust mõjutavad tegurid stabiilsust mõjutavad faktorid Sobimatus Viited pdf
   keemiline struktuur  

aerosool
Viited   aerosool   Viited : Netilmicin sulfate   
tüüp avaldamine
2648 ajaleht Rieutord A, Arnaud P, Dauphin JF, Brion F.
Stability and compatibility of an aerosol mixture including N-acetylcysteine, netilmicin and betamethasone
Int J Pharm 1999 ; 190, 1: 103-107.

  Mentions Légales