Poslední aktualizace :
18/03/2026
Antibiotikum   Netilmicin sulfate   
Aerosol
injekce
Stabilita farmaceutických přípravků Stabilita směsí Faktory ovlivňující stabilitu Kompatibilita Odkazy pdf
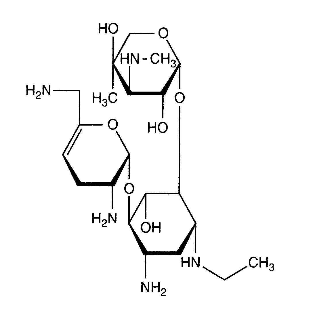
   Chemický vzorec  

Aerosol
Odkazy   Aerosol   Odkazy : Netilmicin sulfate   
typ uveřejnění
2648 noviny Rieutord A, Arnaud P, Dauphin JF, Brion F.
Stability and compatibility of an aerosol mixture including N-acetylcysteine, netilmicin and betamethasone
Int J Pharm 1999 ; 190, 1: 103-107.

  Mentions Légales