最新更新 :
18/03/2026
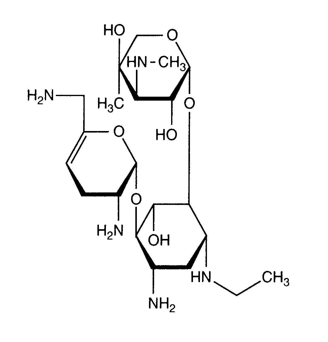
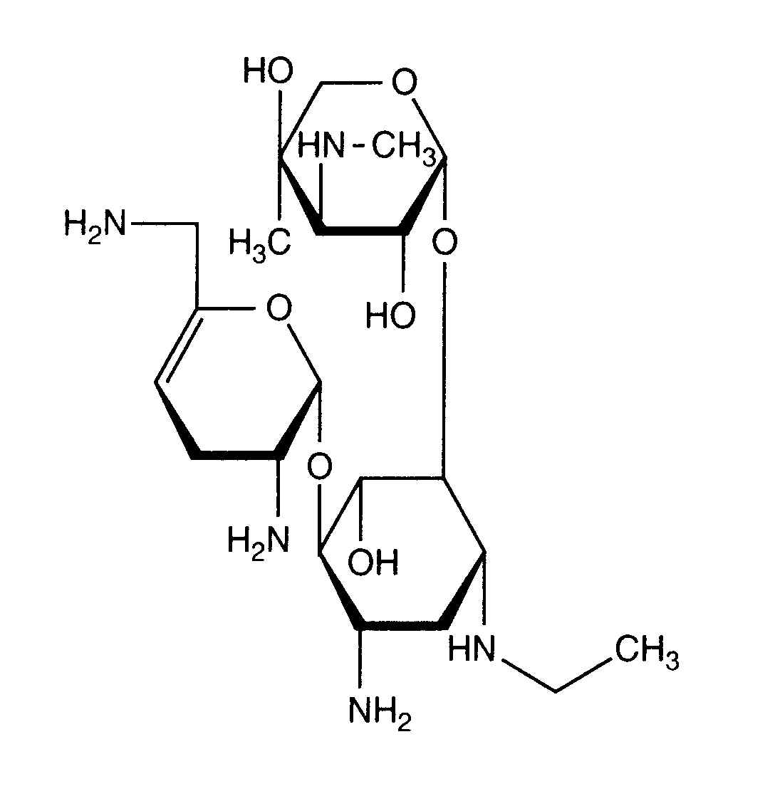
抗生素   Netilmicin sulfate   
气雾剂
注射液
制剂的稳定性 混合物稳定性 影响稳定性的因素 兼容性 引用文献 PDF
   化学式  

气雾剂
引用文献   气雾剂   引用文献 : Netilmicin sulfate   
种类 出版物
2648 文献 Rieutord A, Arnaud P, Dauphin JF, Brion F.
Stability and compatibility of an aerosol mixture including N-acetylcysteine, netilmicin and betamethasone
Int J Pharm 1999 ; 190, 1: 103-107.

  Mentions Légales