Poslední aktualizace :
18/03/2026
Antibiotikas   Netilmicin sulfate   
Aerozolis
Įpurškimas
Stabilumas farmacinių preparatų Mišinių stabilumas Stabilumą lemiantys veiksniai Suderinamumas Bibliografija pdf
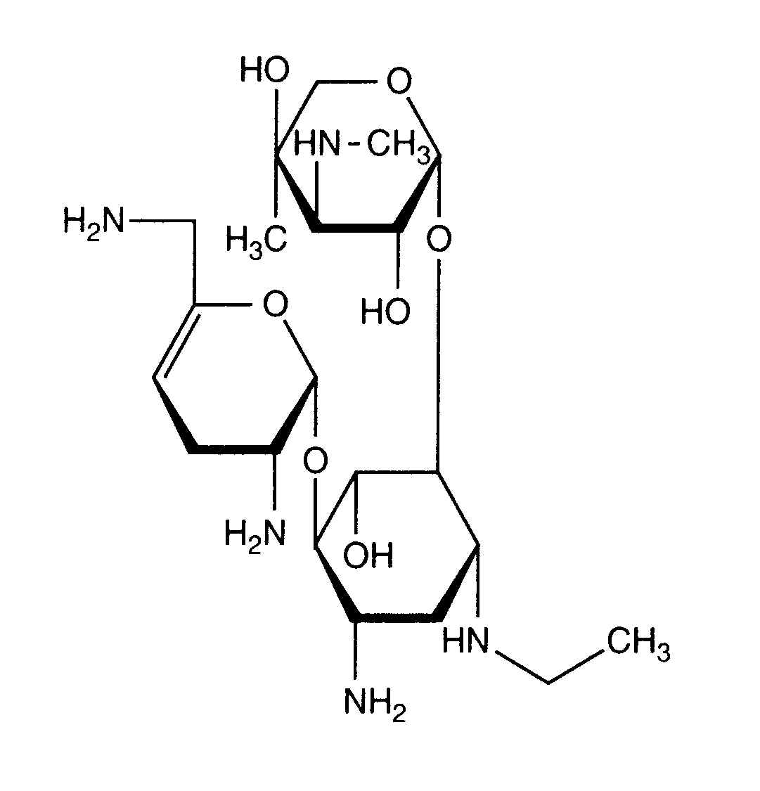
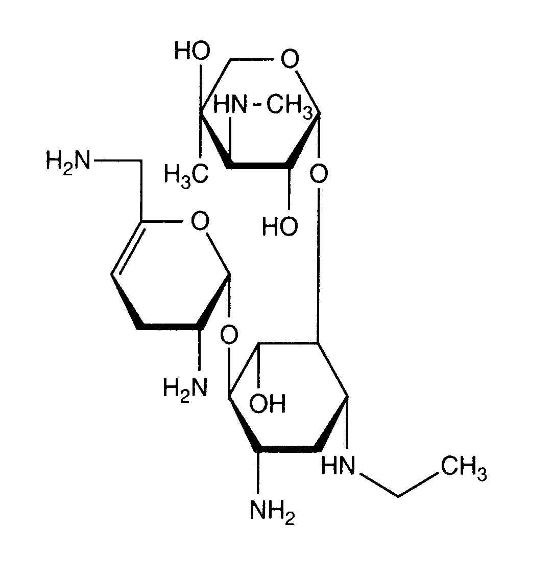
   Cheminė sandara  

Aerozolis
Bibliografija   Aerozolis   Bibliografija : Netilmicin sulfate   
tipas leidinys
2648 Žurnalas Rieutord A, Arnaud P, Dauphin JF, Brion F.
Stability and compatibility of an aerosol mixture including N-acetylcysteine, netilmicin and betamethasone
Int J Pharm 1999 ; 190, 1: 103-107.

  Mentions Légales