Последнее обновление :
17/12/2025
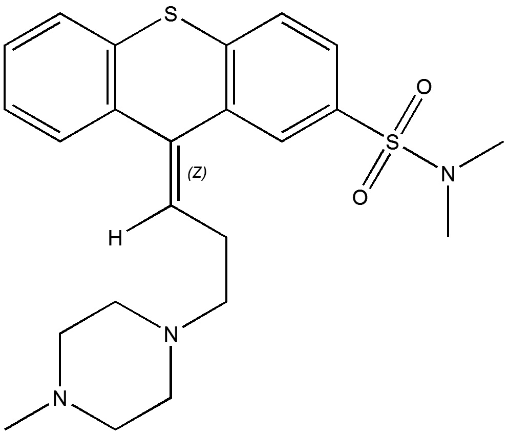
Нейролептик   Thiothixene  
Раствор для перорального приёма
Стабильность фармацевтических препаратов Стабильность смесей Факторы, которые влияют на стабильность Совместимость Библиография pdf
   Химическая структура  

Раствор для перорального приёма
Стабильность смесей   Раствор для перорального приёма   Стабильность смесей : Thiothixene     
данных нет

  Mentions Légales