Ultimo aggiornamento :
27/11/2025
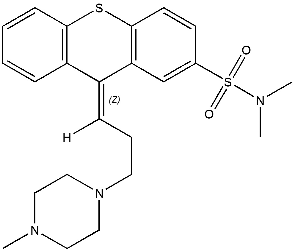
Neurolettico   Thiothixene  
Soluzione orale
Stabilità dei preparati farmaceutici Stabilità in miscela Fattori che influenzano la stabilità Compatibilità Bibliografia pdf
   Struttura chimica  

Soluzione orale
Stabilità in miscela   Soluzione orale   Stabilità in miscela : Thiothixene     
Assenza di dati

  Mentions Légales