Dernière mise à jour :
17/12/2025
Infostab
Liste des molécules
Listes récapitulatives
Recherches de compatibilités
Tableau de compatibilités en Y
Bibliographie
Equipes de recherche
Valistab
Posters
Liens infostab
Partenaires
Auteurs
Manuel d'utilisation
Lettre d'actualité
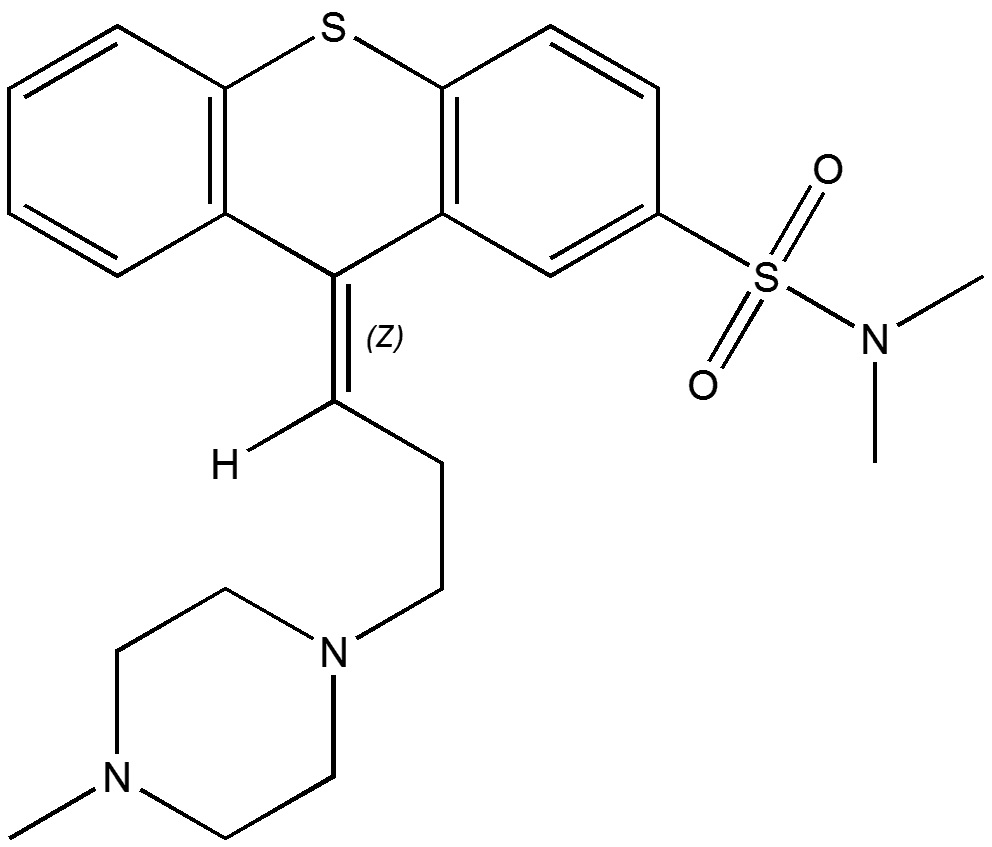
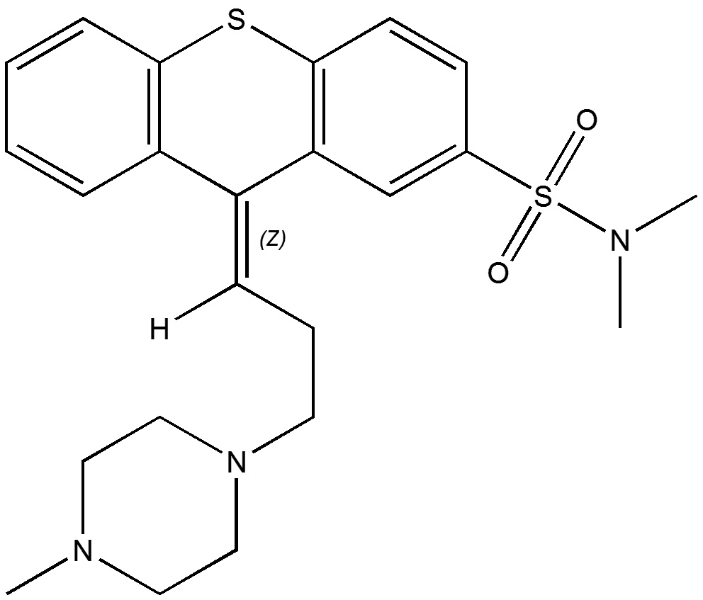
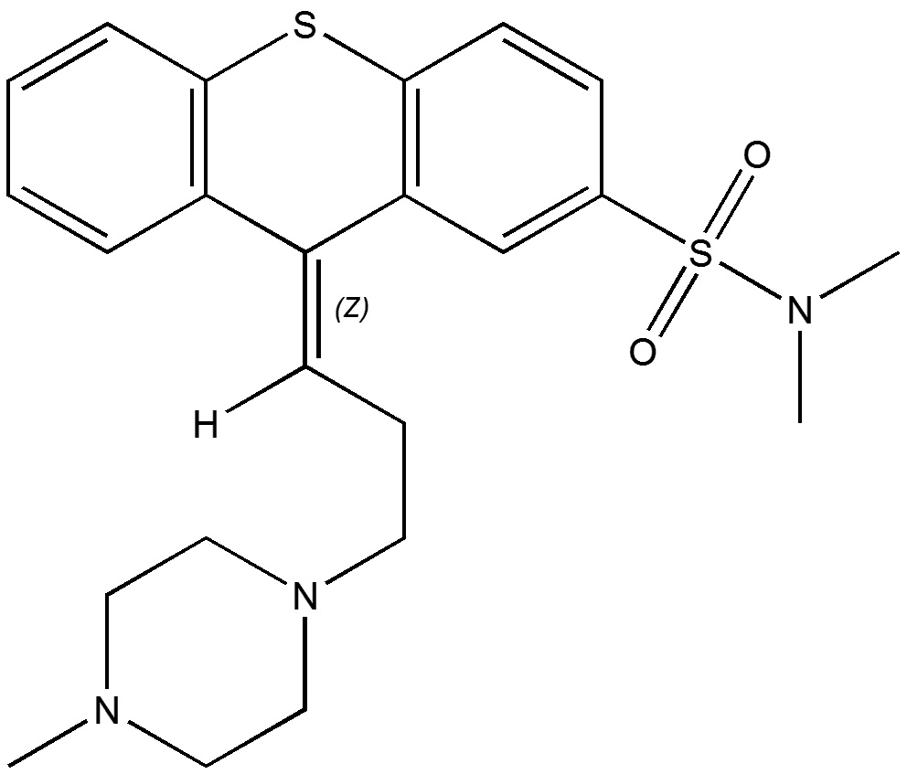
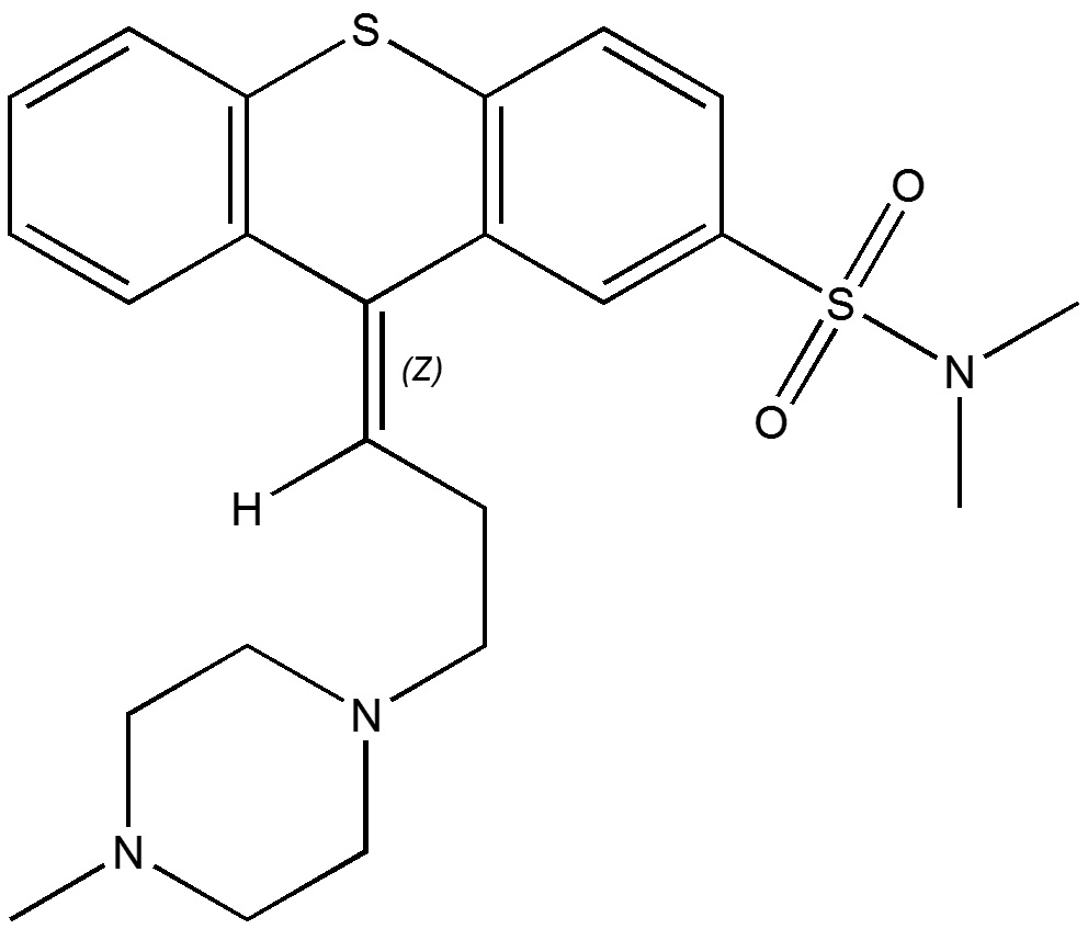
Thiothixene
Structure chimique
Stabilité des préparations : Thiothixene
Aucune donnée
Mentions Légales