Zadnji put ažurirano :
18/03/2026
neuroleptici   Thiothixene  
oralna otopina
Stabilnost farmaceutskih pripravaka Stabilnost mješavine Stabilizacijski faktor Kompatibilnosti Bibliografija pdf
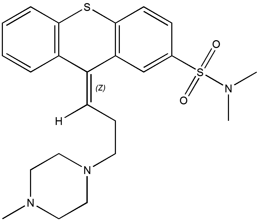
   Kemijska struktura  

oralna otopina
Stabilnost mješavine   oralna otopina     Stabilnost mješavine : Thiothixene     
bez podataka

  Mentions Légales