Senaste uppdateringen :
27/11/2025
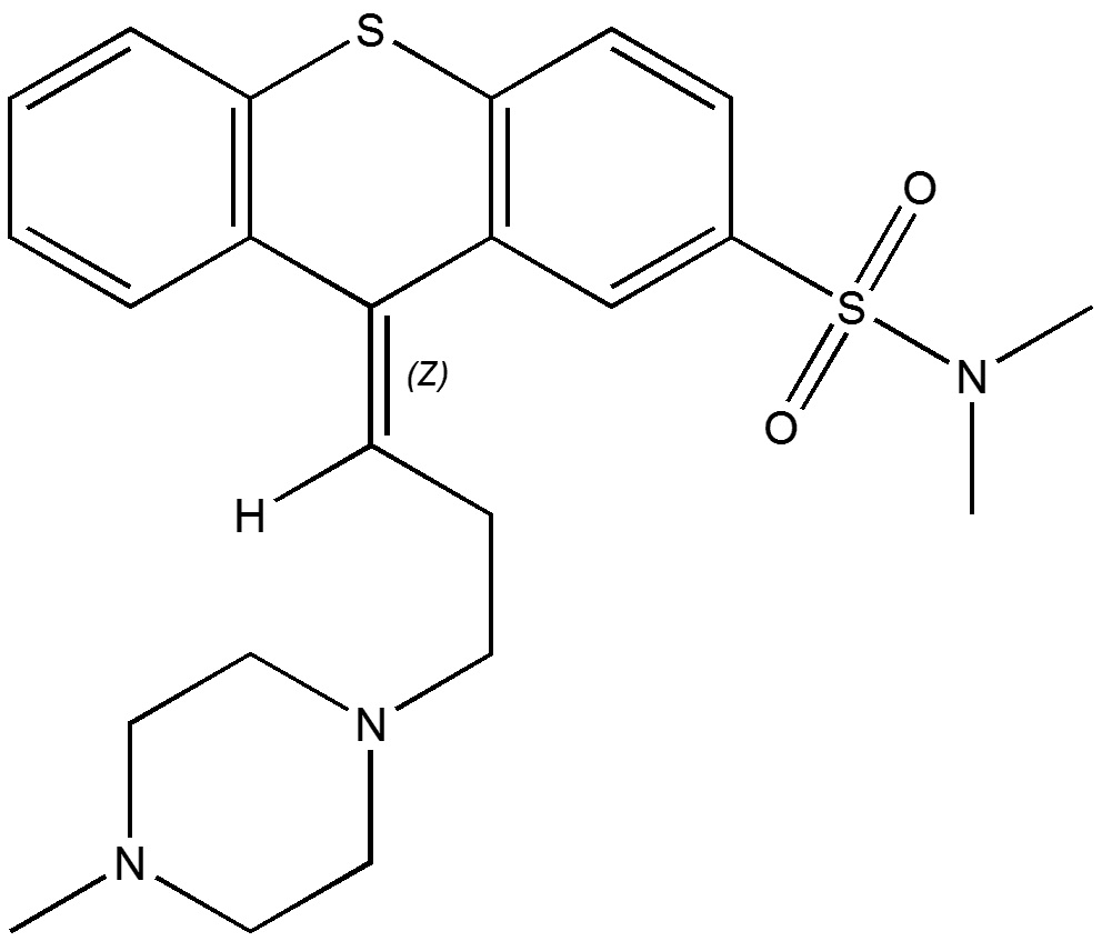
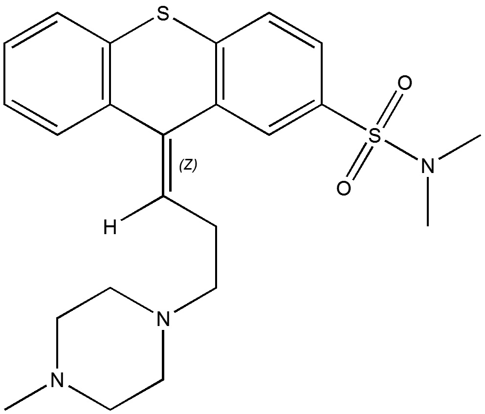
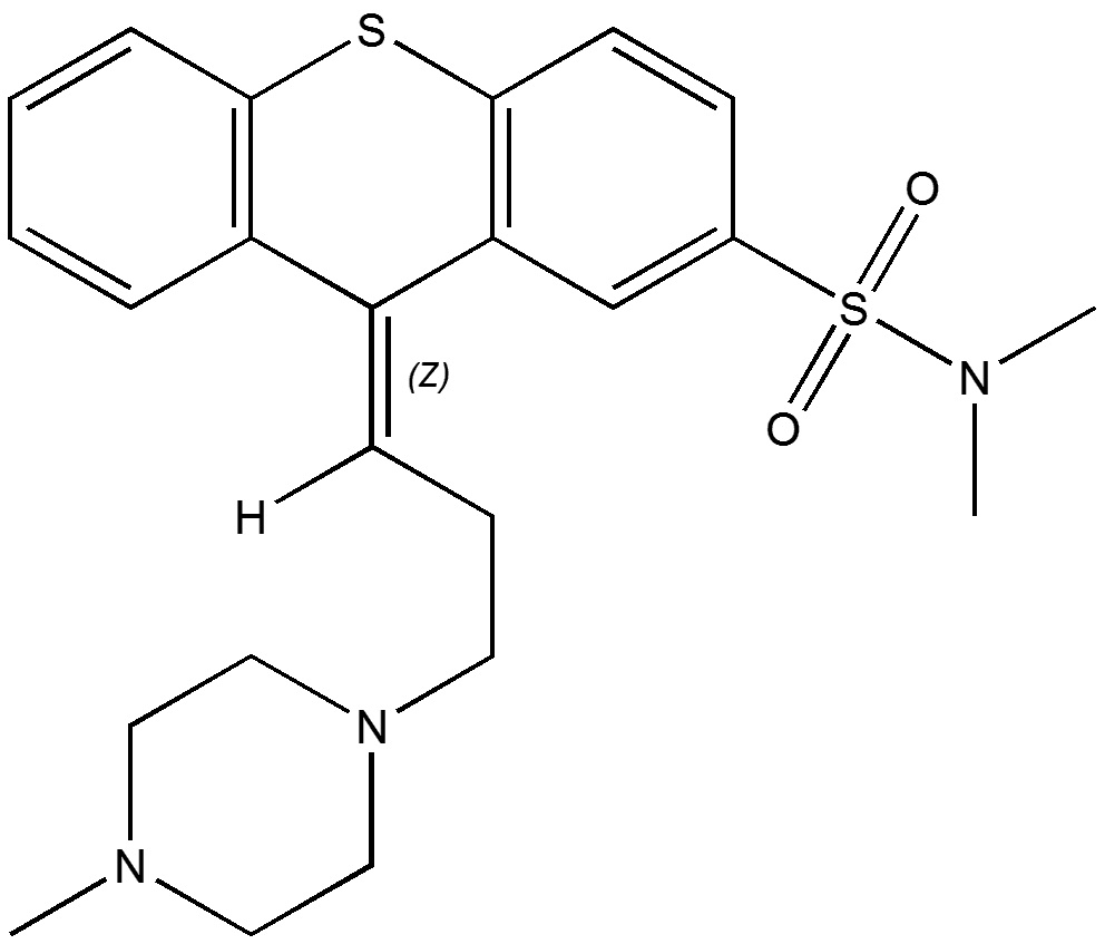
Neuroleptikum   Thiothixene  
Oral lösning
Stabilitet av läkemedel Stabilitet i blandningar Faktorer som påverkar stabiliteten Kompatibilitet Hänvisningar pdf
   Molekylstruktur  

Oral lösning
Stabilitet i blandningar   Oral lösning   Stabilitet i blandningar : Thiothixene     
Ingen uppgift

  Mentions Légales