Последно актуализиране :
27/11/2025
Невролептик   Thiothixene  
Орален разтвор
Стабилност на лекарствени препарати Стабилност на смеси Фактори, повлияващи стабилността Съвместимост Библиография Pdf
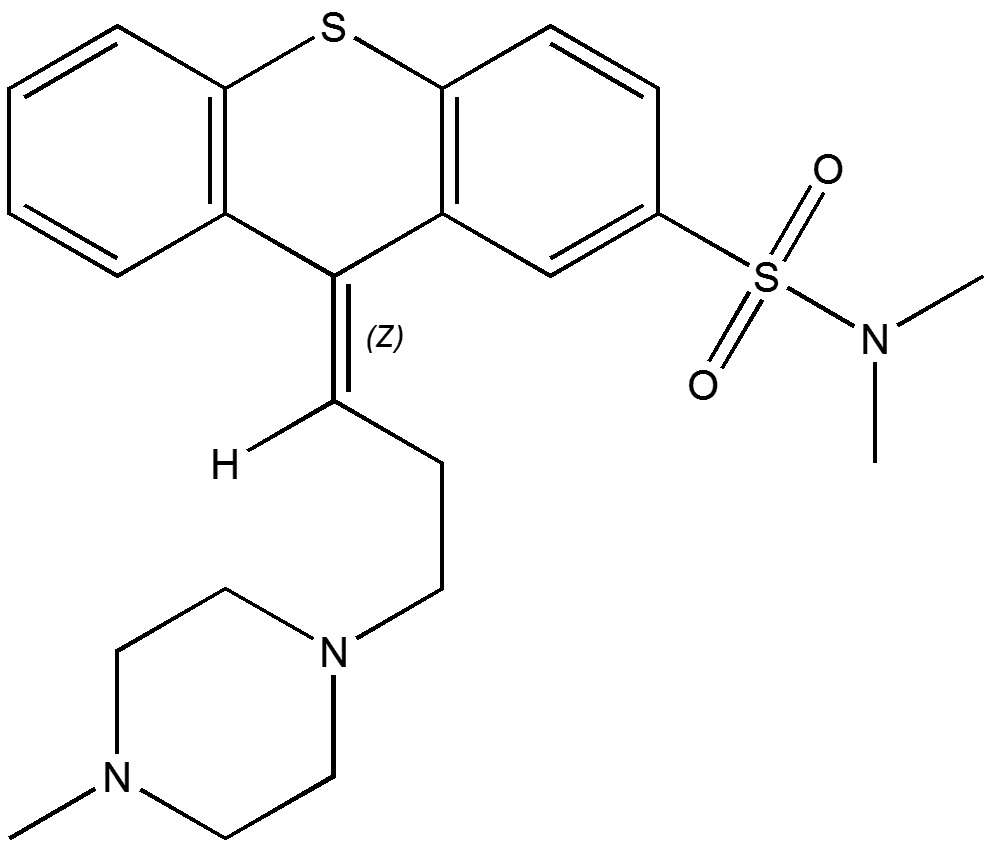
   Химична структура  

Орален разтвор
Стабилност на смеси   Орален разтвор   Стабилност на смеси : Thiothixene     
Няма данни

  Mentions Légales