Siste oppdatering :
27/11/2025
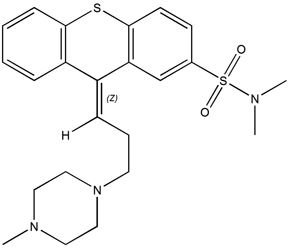
Neuroleptika   Thiothixene  
Mikstur
Stabilitet av farmasøytiske preparater Stabilitet i blandinger Faktorer som påvirker stabiliteten Kompatibilitet Referanser pdf
   Kjemisk struktur  

Mikstur
Stabilitet i blandinger   Mikstur   Stabilitet i blandinger : Thiothixene     
Ingen opplysninger

  Mentions Légales