Son güncelleme :
12/12/2025
Antifungal   Amphotericin B  
Gargara
Aerosol Enjeksiyon Göz damlası Oral solüsyon / oral çözelti
Farmasötik preparatlar Kararlılığı Karışımlardaki stabilitesi Stabiliteyi etkileyen faktörler Uyumluluk Kaynaklar pdf
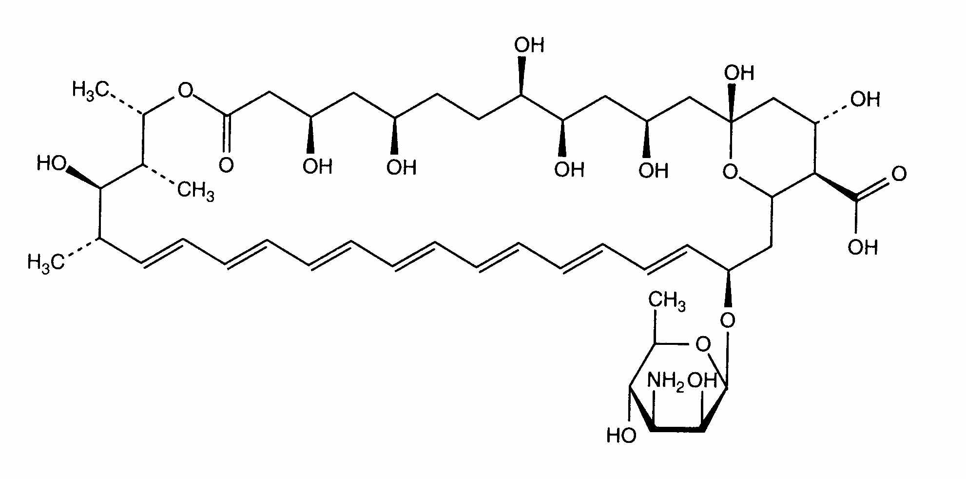
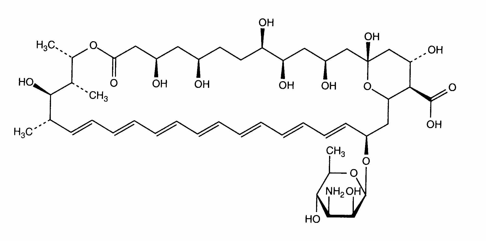
   Kimyasal yapı   

Gargara
Farmasötik preparatlar Kararlılığı   Gargara   Farmasötik preparatlar Kararlılığı : Amphotericin B     
Saklama kabı Origine yardımcı madde Isı Saklama    Stabilite süresi Kaynaklar
Cam Toz 3700 mg
Fungizone®
Sodyum bikarbonat 1.4% >> 500 ml
19-23°C Işıktan koruyunuz
3 Gün
2820

Polipropilen Toz 3700 mg
Fungizone®
Sodyum bikarbonat 1.4% >> 500 ml
19-23°C Işıklı veya ışıksız
3 Gün
2820

Polipropilen Toz 3700 mg
Fungizone®
Sodyum bikarbonat 1.4% >> 500 ml
4°C Işıktan koruyunuz
15 Gün
2820


  Mentions Légales