Ultimele actualizari :
27/11/2025
Antifungic   Amphotericin B  
Gargara
Aerosol colir Injectabil Soluţie orală
Stabilitatea preparatelor farmaceutice Stabilitatea in amestec Factorii care influenteaza stabilitatea Compatibilitate Bibliografie pdf
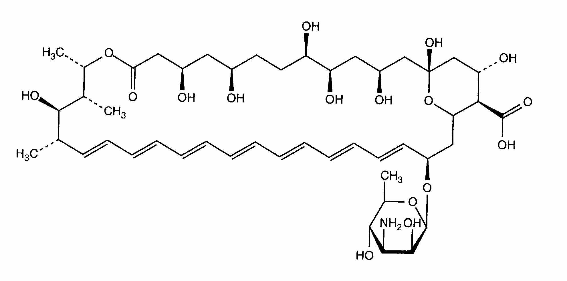
   Formula chimica  

Gargara
Stabilitatea preparatelor farmaceutice   Gargara   Stabilitatea preparatelor farmaceutice : Amphotericin B     
Continut Origine Excipient Temperatura Conservare Durata stabilității Bibiografie
sticla praf 3700 mg
Fungizone®
bicarbonat de sodiu 1.4% >> 500 ml
19-23°C Ferit de lumina
3 Ziua
2820

polipropilen praf 3700 mg
Fungizone®
bicarbonat de sodiu 1.4% >> 500 ml
19-23°C In prezenta sau absenta luminii
3 Ziua
2820

polipropilen praf 3700 mg
Fungizone®
bicarbonat de sodiu 1.4% >> 500 ml
4°C Ferit de lumina
15 Ziua
2820


  Mentions Légales