Последнее обновление :
27/11/2025
Противогрибковое средство   Amphotericin B  
Ополаскиватель для полости рта
Аэрозоль Глазные капли Инъекция Раствор для перорального приёма
Стабильность фармацевтических препаратов Стабильность смесей Факторы, которые влияют на стабильность Совместимость Библиография pdf
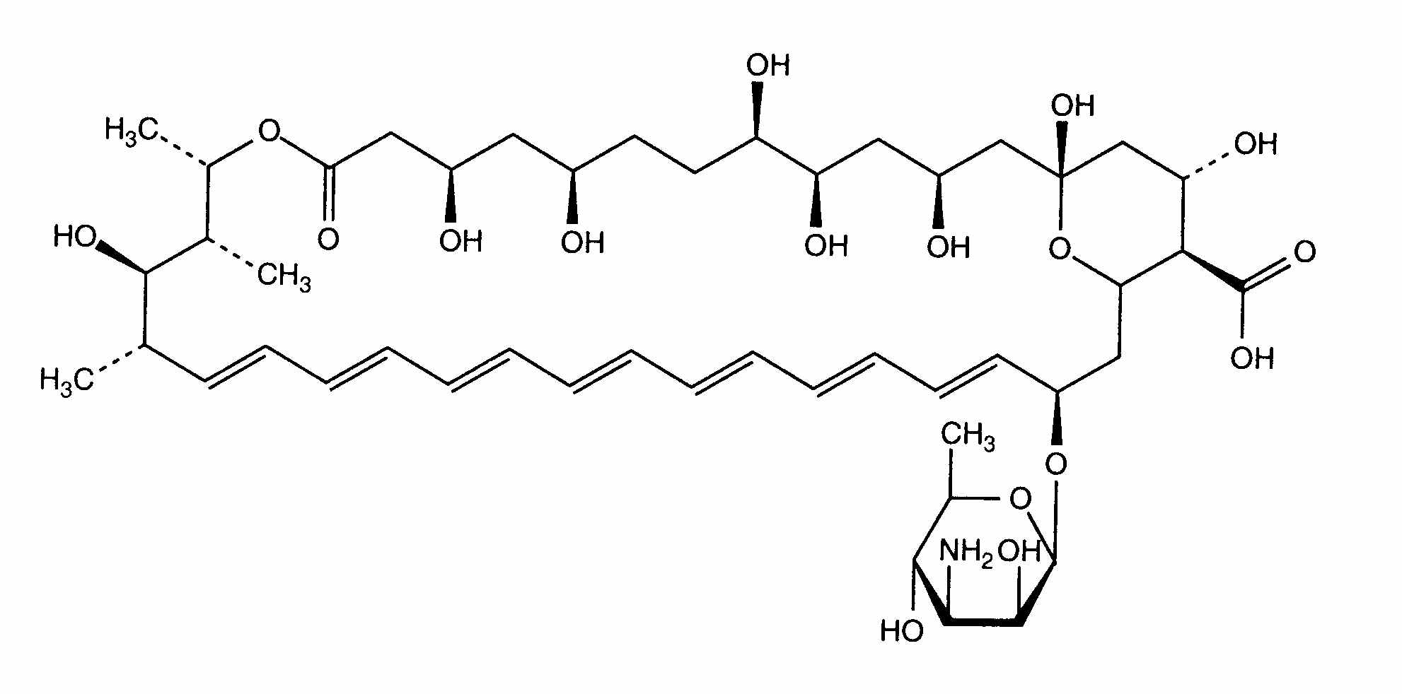
   Химическая структура  

Ополаскиватель для полости рта
Стабильность фармацевтических препаратов   Ополаскиватель для полости рта   Стабильность фармацевтических препаратов : Amphotericin B     
Упаковка Origine Наполнитель Температура Хранение Продолжительность стабильности Ссылки
Стекло Порошок 3700 mg
Fungizone®
Бикарбонат натрия 1.4% >> 500 ml
19-23°C Защищён от света
3 День
2820

Полипропилен Порошок 3700 mg
Fungizone®
Бикарбонат натрия 1.4% >> 500 ml
19-23°C И на свету и в темноте
3 День
2820

Полипропилен Порошок 3700 mg
Fungizone®
Бикарбонат натрия 1.4% >> 500 ml
4°C Защищён от света
15 День
2820


  Mentions Légales