Ultimo aggiornamento :
05/12/2025
Antimicotico   Amphotericin B  
Collutorio
Aerosol Collirio Iniezione Soluzione orale
Stabilità dei preparati farmaceutici Stabilità in miscela Fattori che influenzano la stabilità Compatibilità Bibliografia pdf
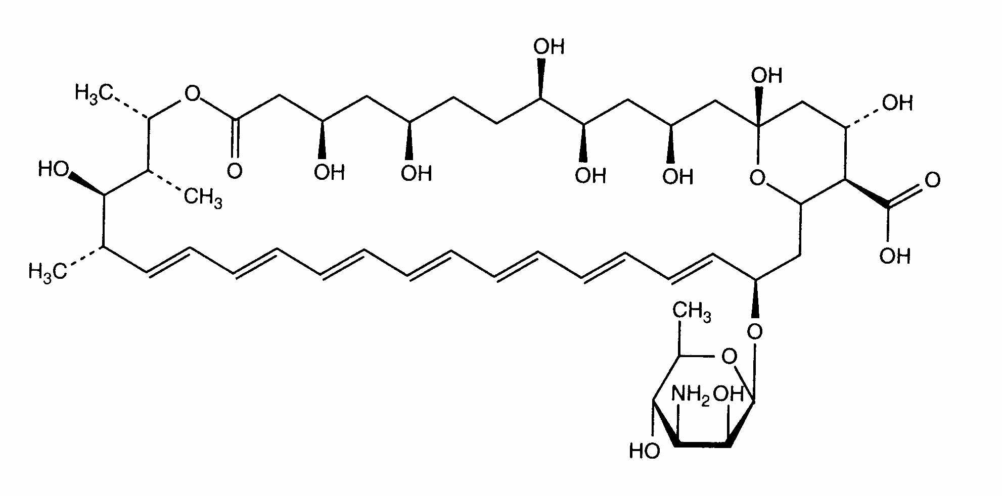
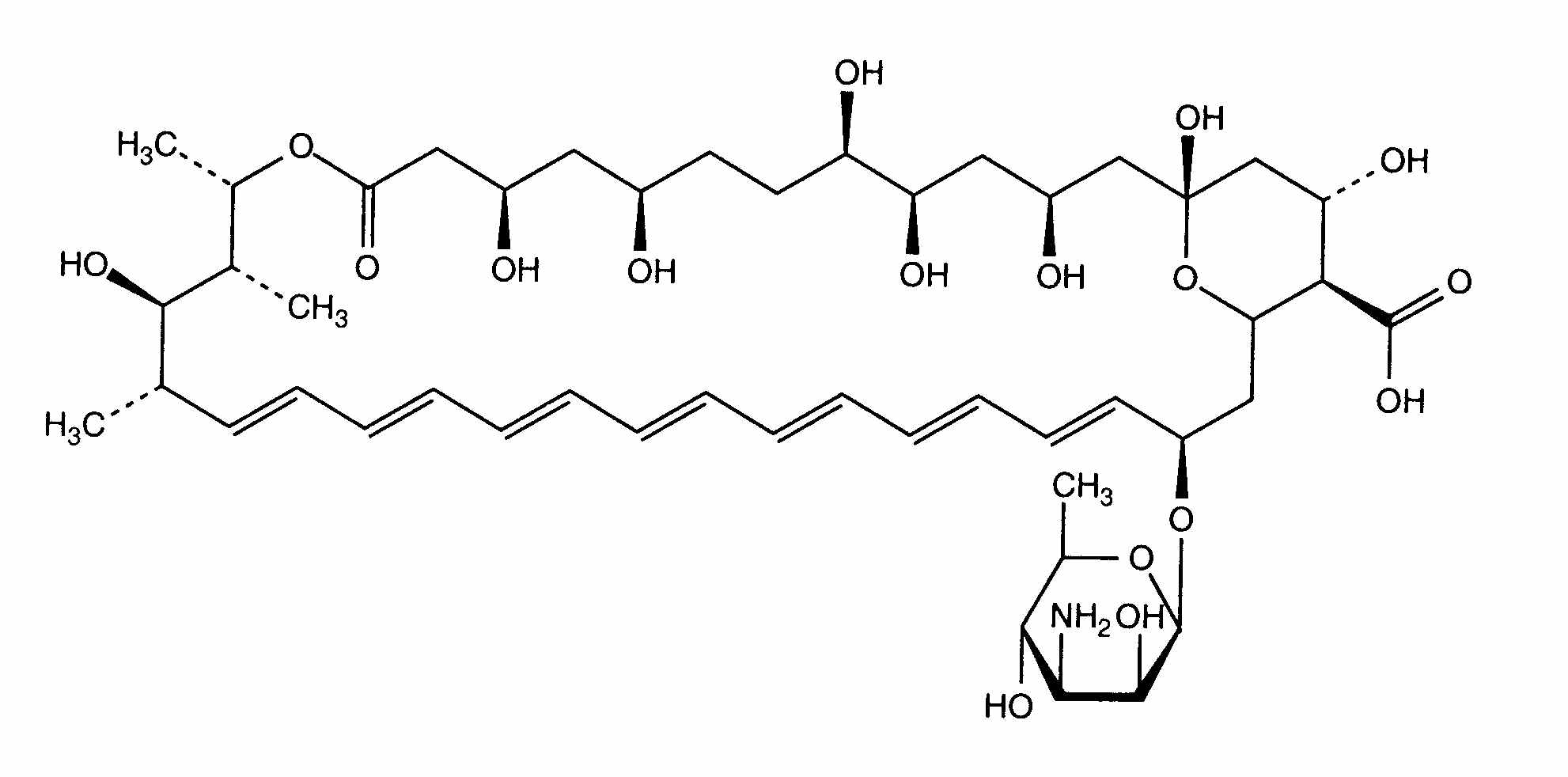
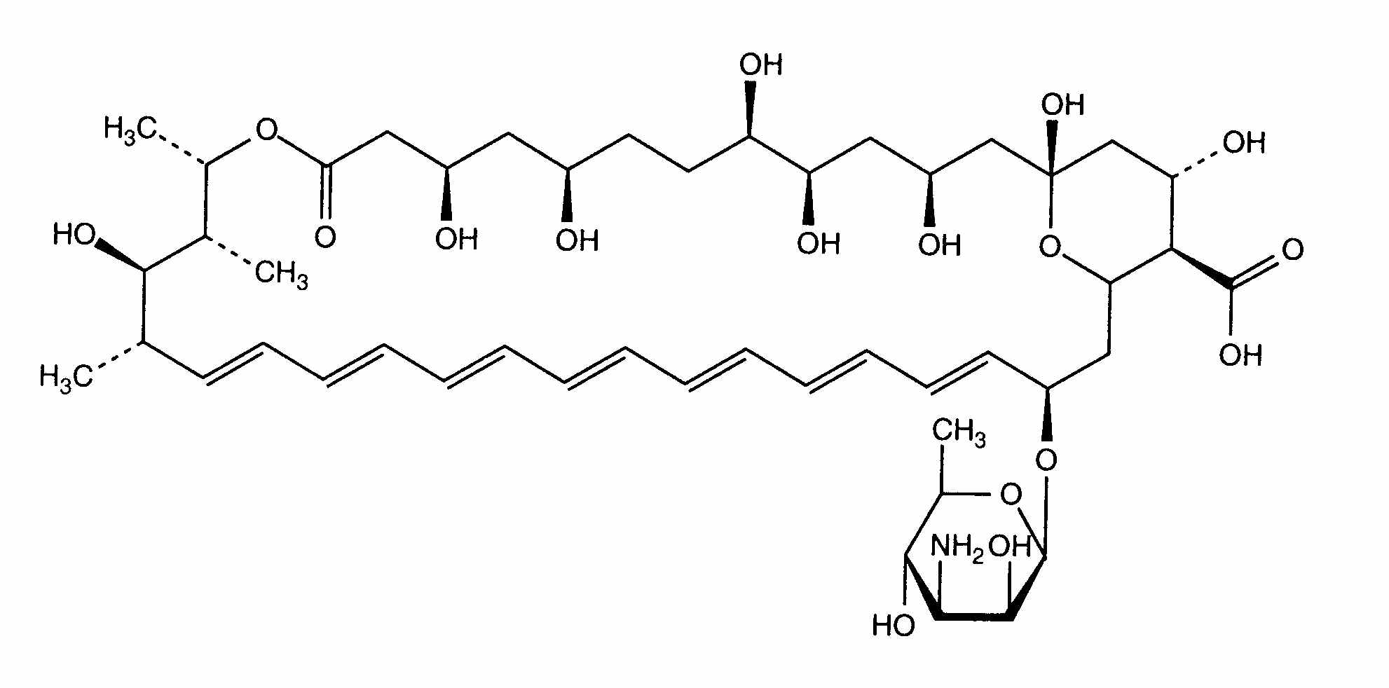
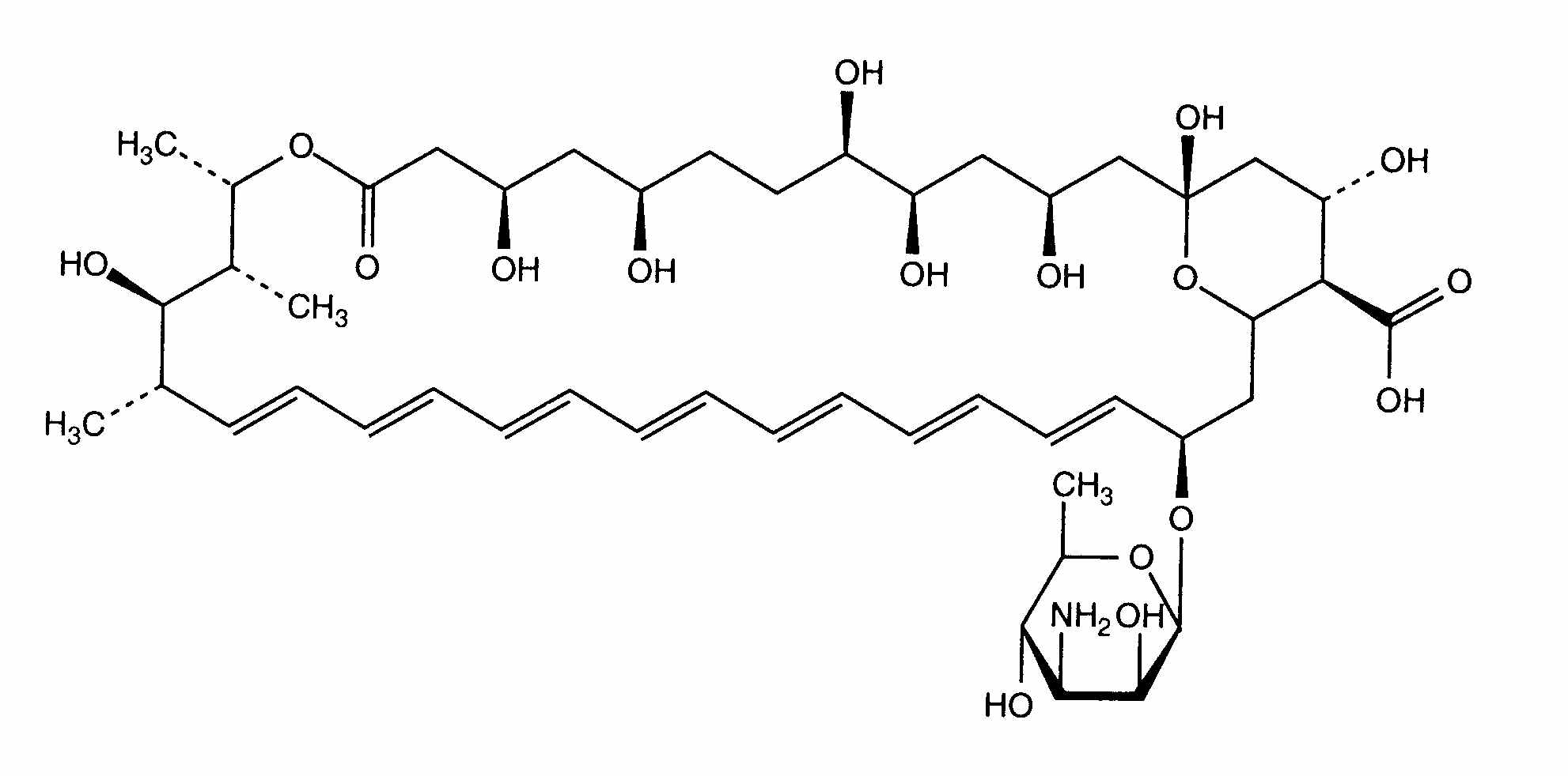
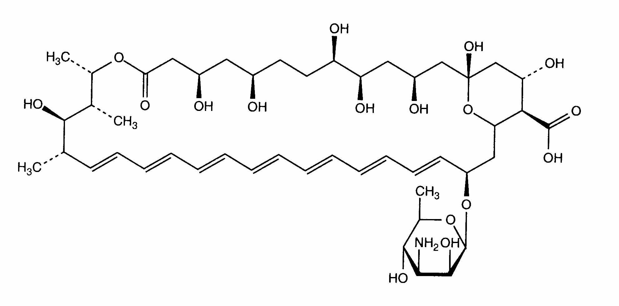
   Struttura chimica  

Collutorio
Stabilità dei preparati farmaceutici   Collutorio   Stabilità dei preparati farmaceutici : Amphotericin B     
contenitore Origine eccipiente Temperatura Conservazione Durata della stabilità Bibliografia
Vetro polvere 3700 mg
Fungizone®
bicarbonato di sodio 1.4% >> 500 ml
19-23°C Al riparo dalla luce
3 Giorno
2820

Polipropilene polvere 3700 mg
Fungizone®
bicarbonato di sodio 1.4% >> 500 ml
19-23°C Con o senza luce
3 Giorno
2820

Polipropilene polvere 3700 mg
Fungizone®
bicarbonato di sodio 1.4% >> 500 ml
4°C Al riparo dalla luce
15 Giorno
2820


  Mentions Légales