Última actualização :
27/11/2025
Antifúngico   Amphotericin B  
colutório
aerossol injetável solução oftálmica Solução Oral
Estabilidade de preparações farmacêuticas Estabilidade em misturas Factores que afectam a sua estabilidade Compatibilidade Bibliografía pdf
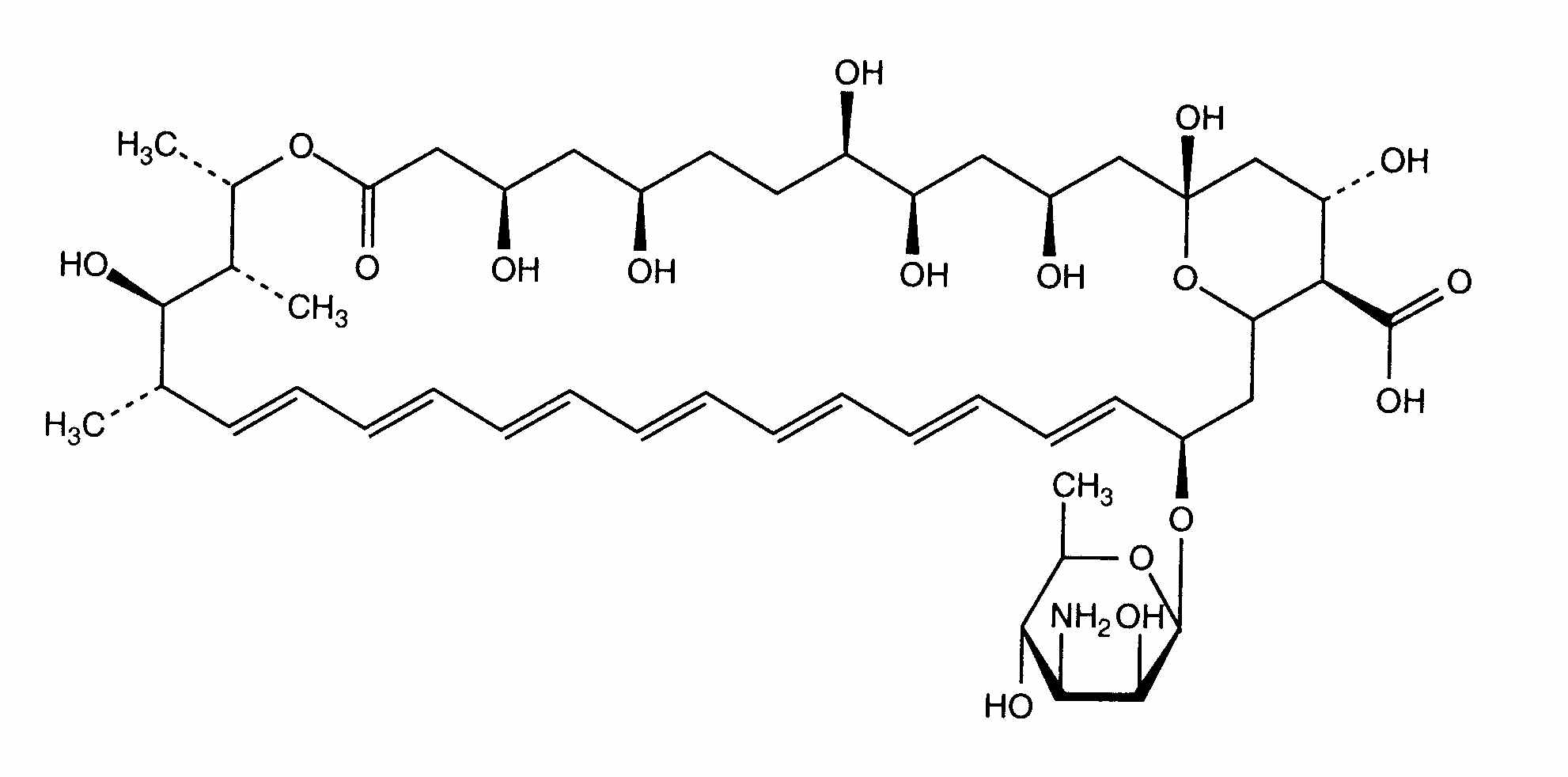
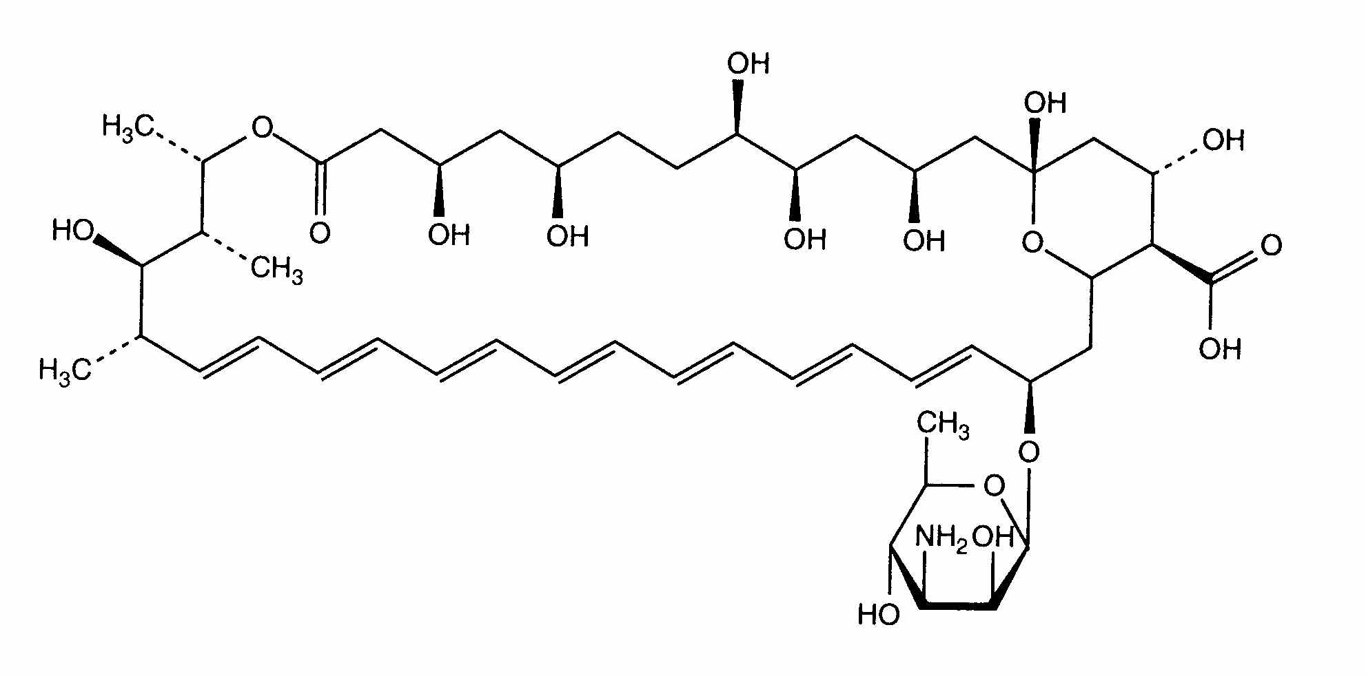
   estrutura química  

colutório
Estabilidade de preparações farmacêuticas   colutório   Estabilidade de preparações farmacêuticas : Amphotericin B     
Embalagem Origine excipiente temperatura conservação Duração da estabilidade Bibliografia
vidro pó 3700 mg
Fungizone®
bicarbonato de sódio 1.4% >> 500 ml
19-23°C ao abrigo da luz
3 dia
2820

Polipropileno pó 3700 mg
Fungizone®
bicarbonato de sódio 1.4% >> 500 ml
19-23°C Com ou sem luz
3 dia
2820

Polipropileno pó 3700 mg
Fungizone®
bicarbonato de sódio 1.4% >> 500 ml
4°C ao abrigo da luz
15 dia
2820


  Mentions Légales