Posledná aktualizácia :
18/03/2026
antimykotikum   Amphotericin B  
Kloktadlo
Aerosól Injekcia Očná instilácia Perorálny roztok
Stabilita farmaceutických prípravkov Stabilita v zmesiach Faktory ovplyvňujúce stabilitu Kompatibility Odkazy na literatúru PDF
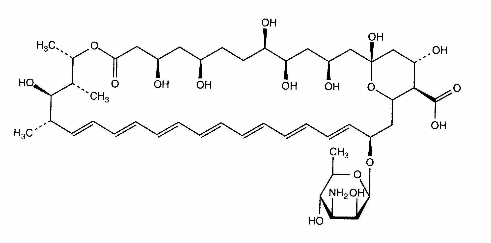
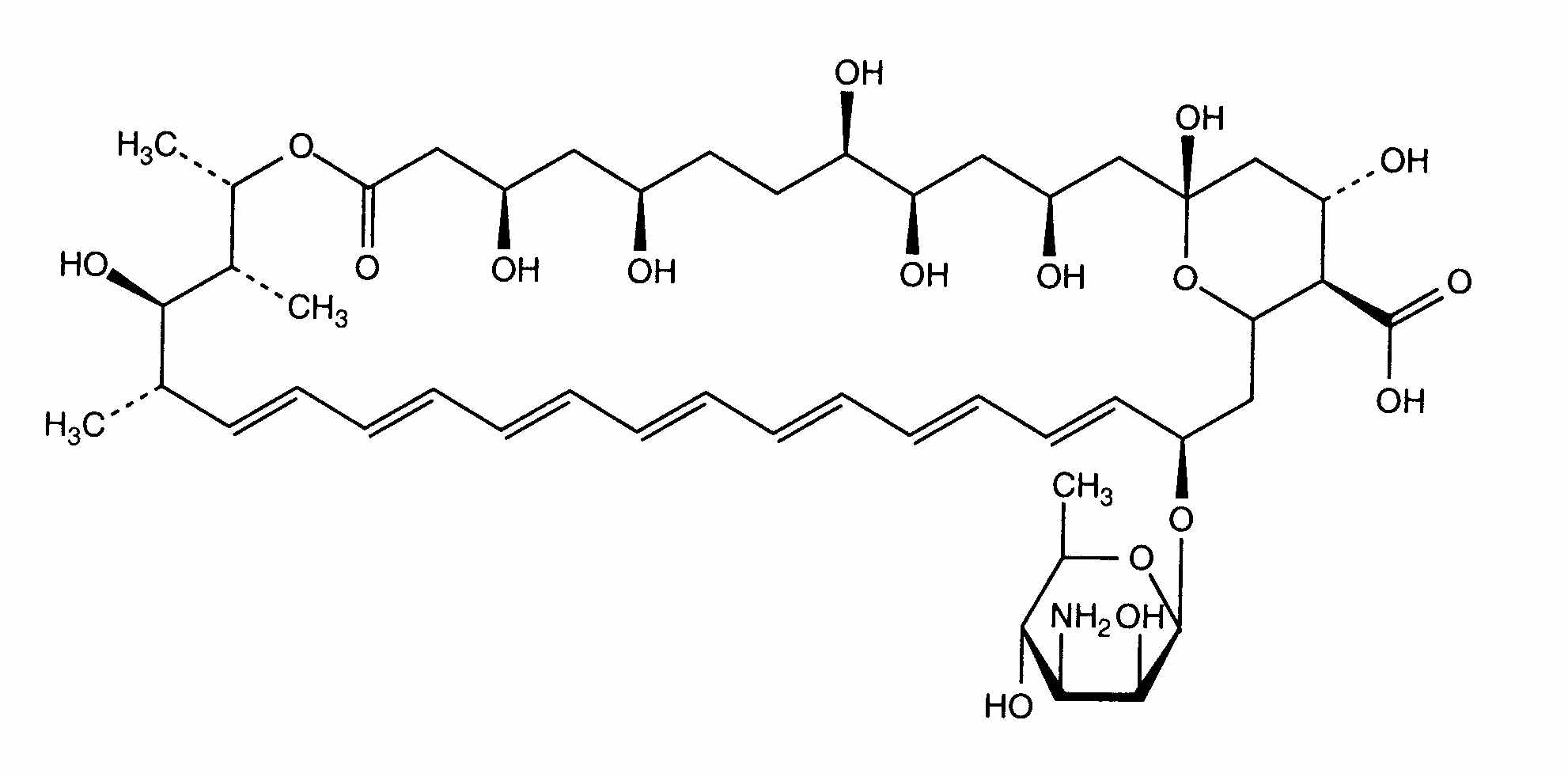
   Chemický vzorec  

Kloktadlo
Stabilita farmaceutických prípravkov   Kloktadlo   Stabilita farmaceutických prípravkov : Amphotericin B     
obal Pôvod Pomocná látka teplota uchovávanie Trvanie stability odkazy na lieteratúru
Sklo Prášok 3700 mg
Fungizone®
Uhličitan sodný 1.4% >> 500 ml
19-23°C Chránené pred svetlom
3 dní
2820

polypropylén Prášok 3700 mg
Fungizone®
Uhličitan sodný 1.4% >> 500 ml
19-23°C Za svetla alebo chránené pred svetlom
3 dní
2820

polypropylén Prášok 3700 mg
Fungizone®
Uhličitan sodný 1.4% >> 500 ml
4°C Chránené pred svetlom
15 dní
2820


  Mentions Légales