Zadnji put ažurirano :
18/03/2026
antifungicid   Amphotericin B  
otopina za ispiranje usne šupljine
aerosol injekcija kapi za oko oralna otopina
Stabilnost farmaceutskih pripravaka Stabilnost mješavine Stabilizacijski faktor Kompatibilnosti Bibliografija pdf
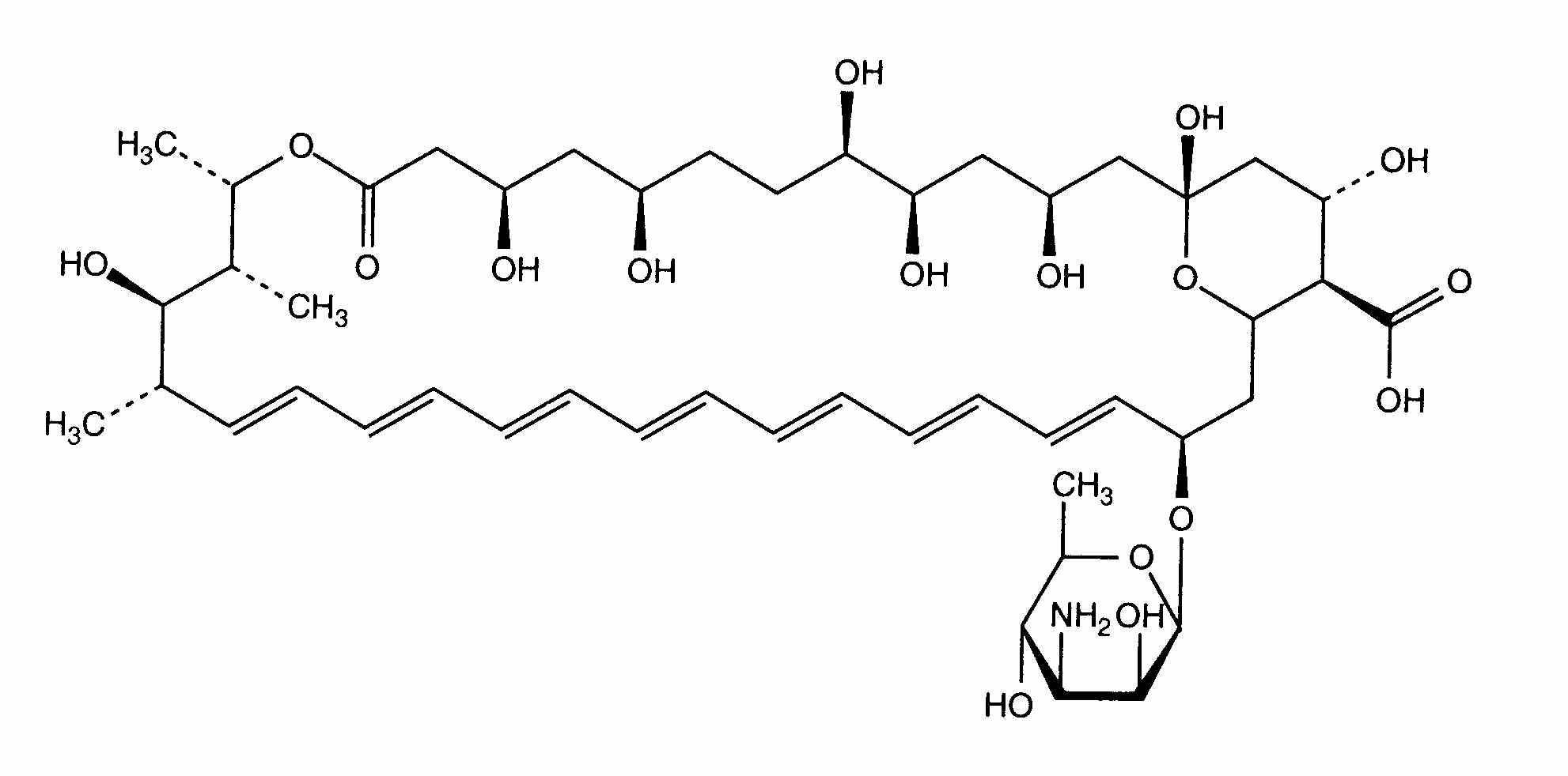
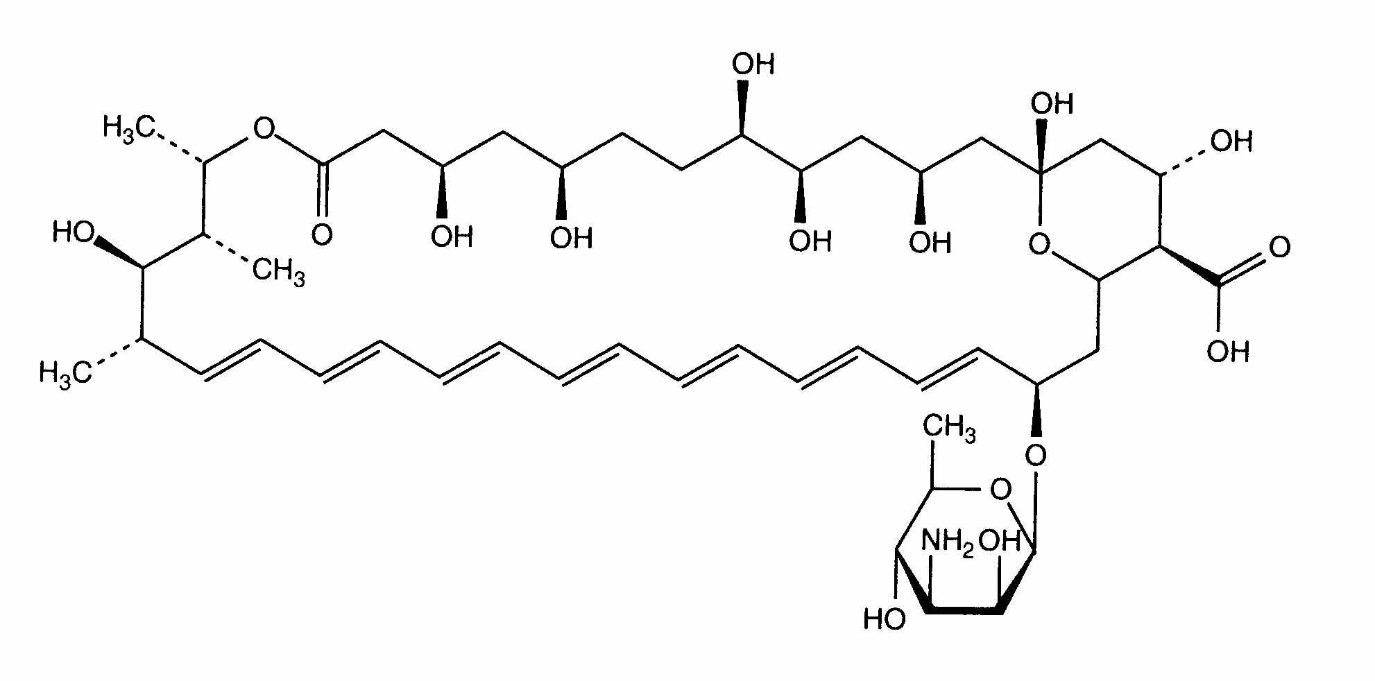
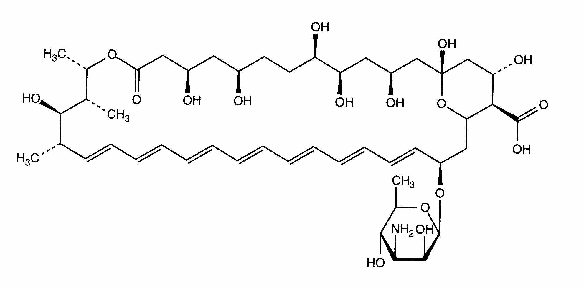
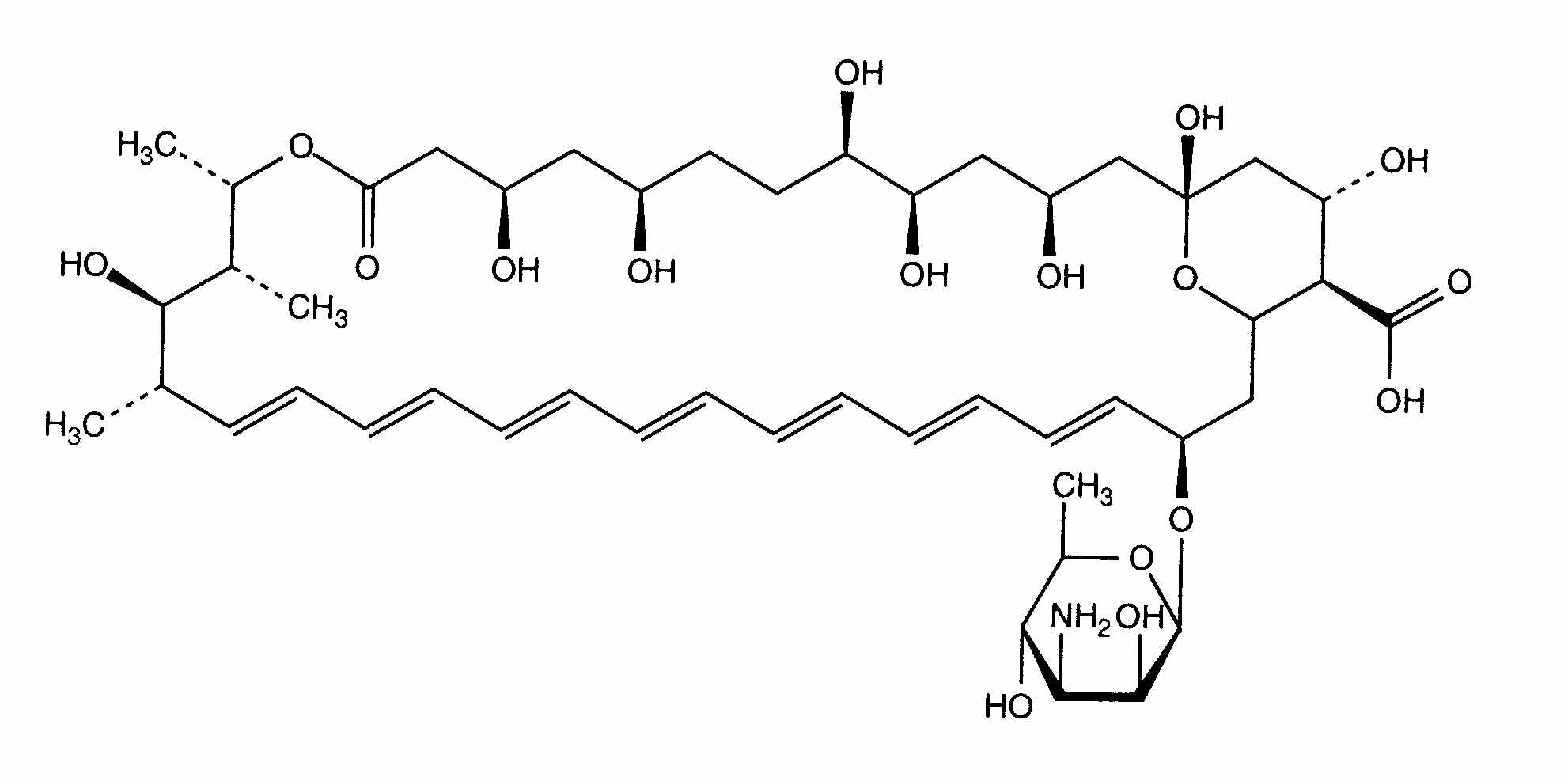
   Kemijska struktura  

otopina za ispiranje usne šupljine
Stabilnost farmaceutskih pripravaka   otopina za ispiranje usne šupljine   Stabilnost farmaceutskih pripravaka : Amphotericin B     
Kontejner Origine pomoćna tvar temperatura Konzerviranje Trajanje stabilnosti Bibliografija
čaša prašak 3700 mg
Fungizone®
natrij bikarbonat 1.4% >> 500 ml
19-23°C Zaštićeno od svjetlosti
3 dan
2820

polipropilen prašak 3700 mg
Fungizone®
natrij bikarbonat 1.4% >> 500 ml
19-23°C Sa i bez svjetlosti
3 dan
2820

polipropilen prašak 3700 mg
Fungizone®
natrij bikarbonat 1.4% >> 500 ml
4°C Zaštićeno od svjetlosti
15 dan
2820


  Mentions Légales