Utolsó frissítés :
27/11/2025
Gombaellenes szer   Amphotericin B  
Szájvíz
aeroszol belsőleges oldat Injekció Szemcsepp
Stabilitása gyógyszerészeti készítmények A keverékek stabilitása Stabilitást befolyásoló tényezők Kompatibilitás Irodalom pdf
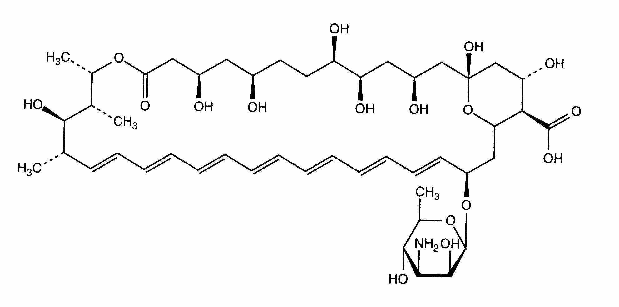
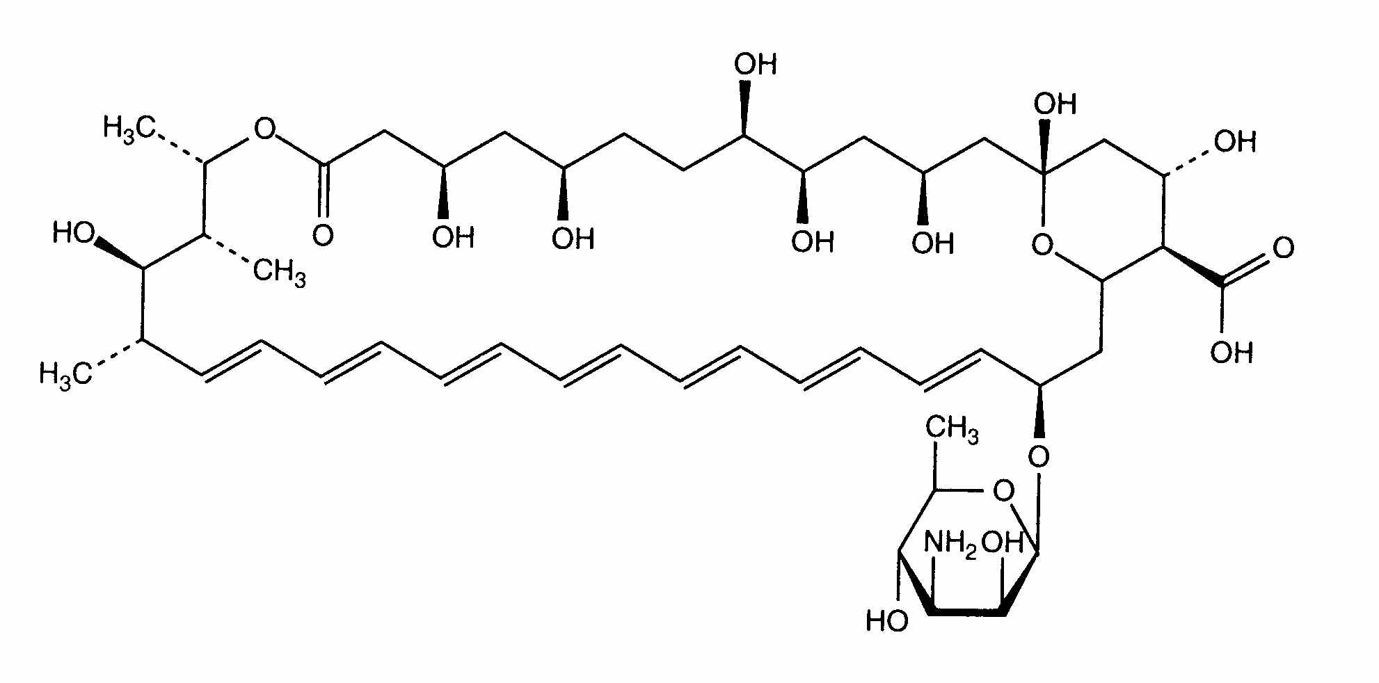
   Kémiai szerkezet   

Szájvíz
Stabilitása gyógyszerészeti készítmények   Szájvíz   Stabilitása gyógyszerészeti készítmények : Amphotericin B     
Csomagolás Origine segédanyag Hőmérséklet Tárolás A stabilitás időtartama Irodalom
Üveg por 3700 mg
Fungizone®
nátrium-hidrogén-karbonát 1.4% >> 500 ml
19-23°C Fénytől védve tartandó
3 Nap
2820

Polipropilén por 3700 mg
Fungizone®
nátrium-hidrogén-karbonát 1.4% >> 500 ml
19-23°C Fénnyel vagy anélkül
3 Nap
2820

Polipropilén por 3700 mg
Fungizone®
nátrium-hidrogén-karbonát 1.4% >> 500 ml
4°C Fénytől védve tartandó
15 Nap
2820


  Mentions Légales