Son güncelleme :
18/03/2026
Antifungal   Amphotericin B  
Gargara
Aerosol Enjeksiyon Göz damlası Oral solüsyon / oral çözelti
Farmasötik preparatlar Kararlılığı Karışımlardaki stabilitesi Stabiliteyi etkileyen faktörler Uyumluluk Kaynaklar pdf
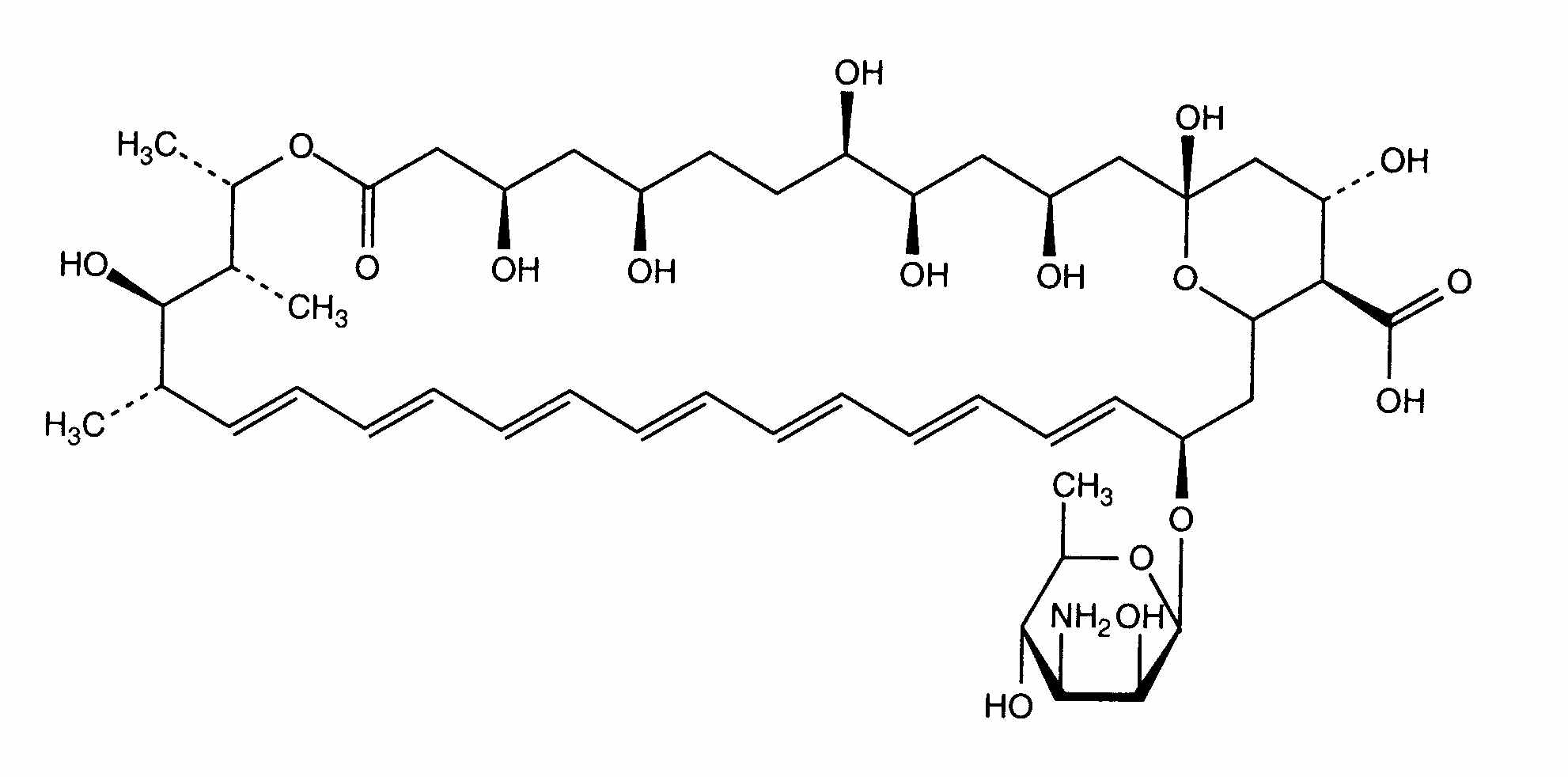
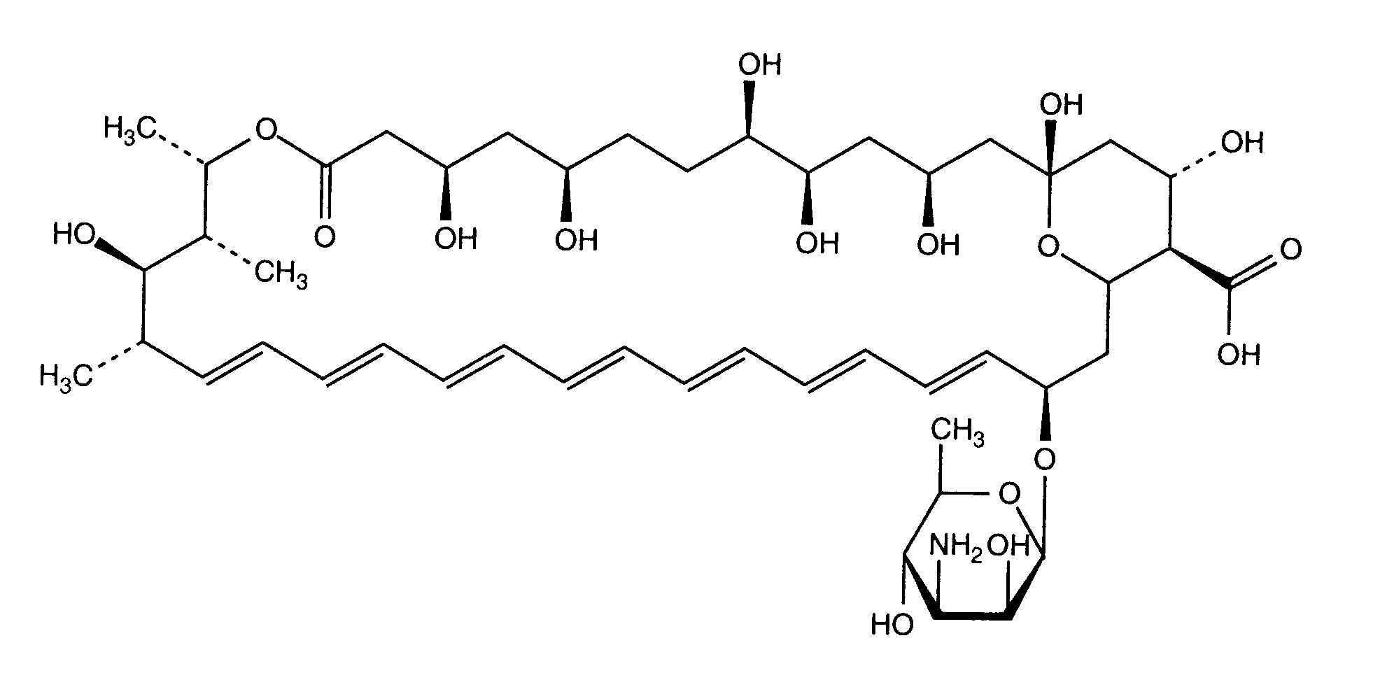
   Kimyasal yapı   

Gargara
Karışımlardaki stabilitesi   Gargara   Karışımlardaki stabilitesi : Amphotericin B     
veri yok

  Mentions Légales