Viimeisin päivitys :
18/03/2026
Sienilääkkeet   Amphotericin B  
Suuvesi
Aerosoli Injektioneste Oraaliliuos Silmätipat
Vakaus lääkevalmisteen Stabilius seoksissa Tekijät, jotka vaikuttavat stabiliuteen Yhteensopivuus Viitteet pdf
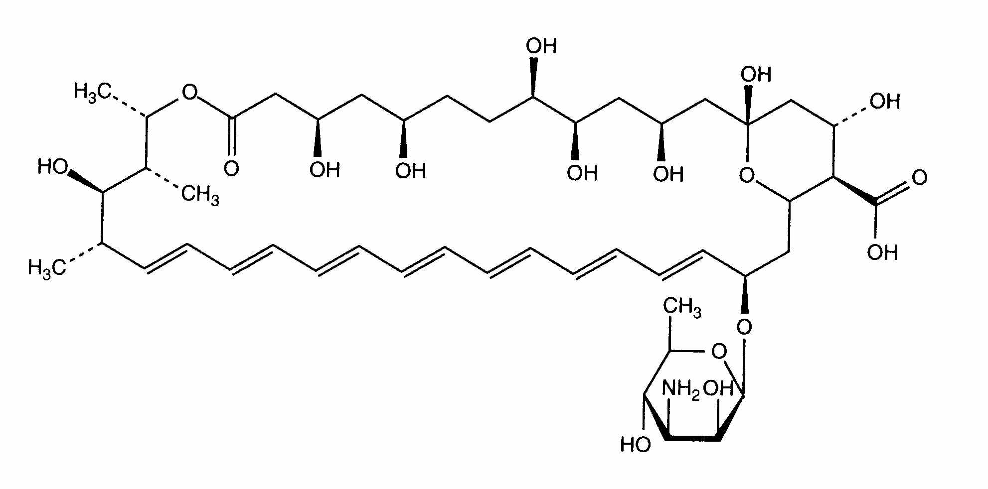
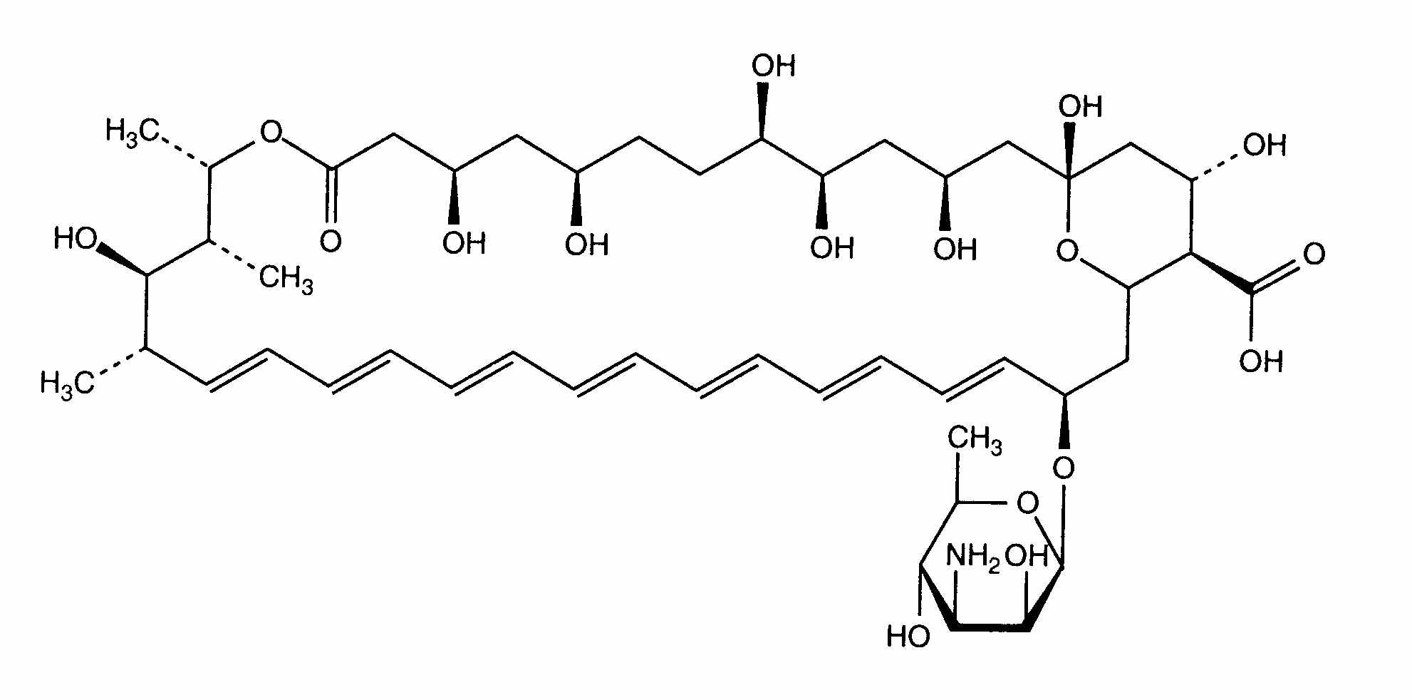
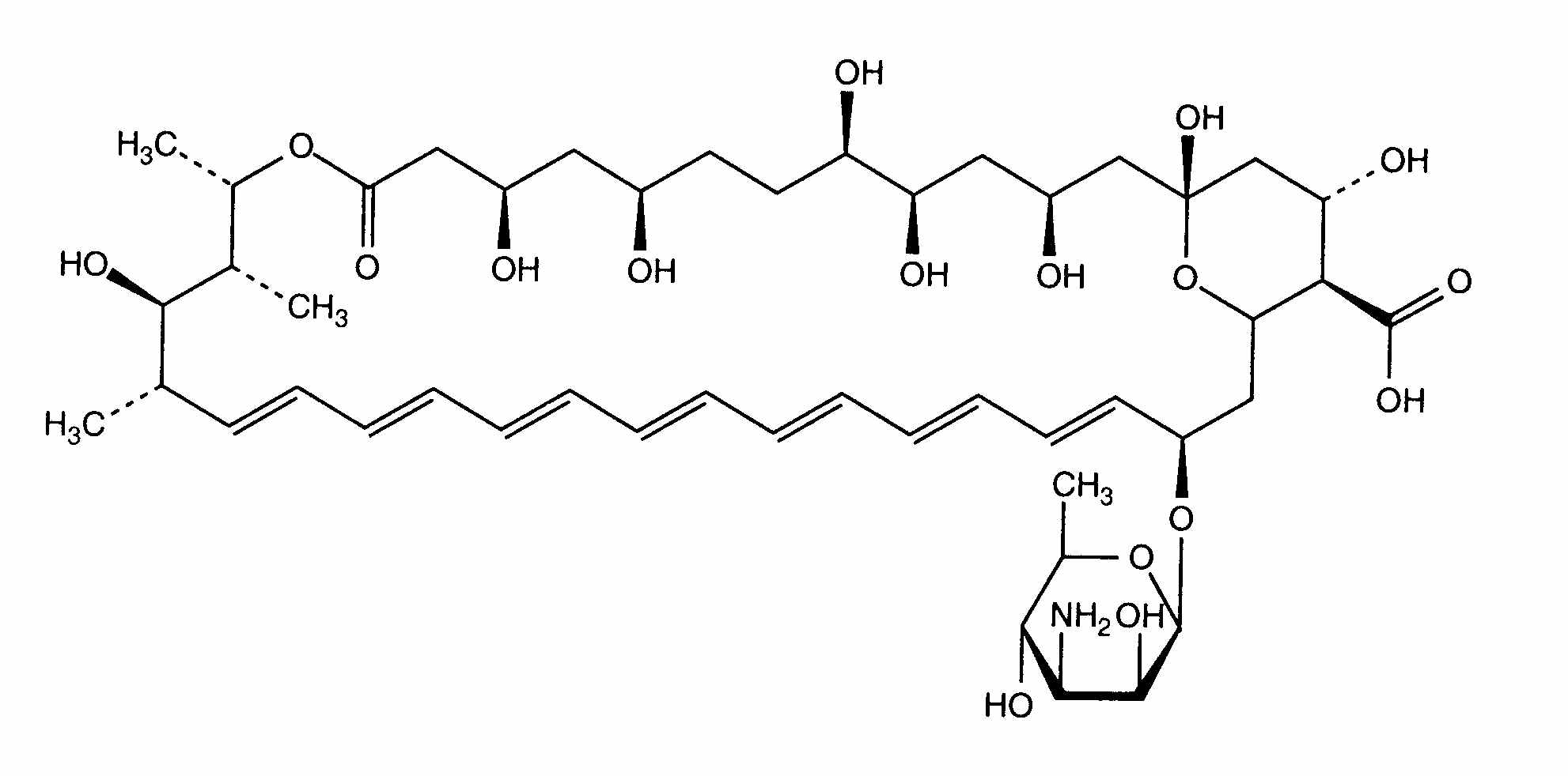
   Kemiallinen rakenne  

Suuvesi
Stabilius seoksissa   Suuvesi   Stabilius seoksissa : Amphotericin B     
ei tietoa

  Mentions Légales