Last update :
18/03/2026
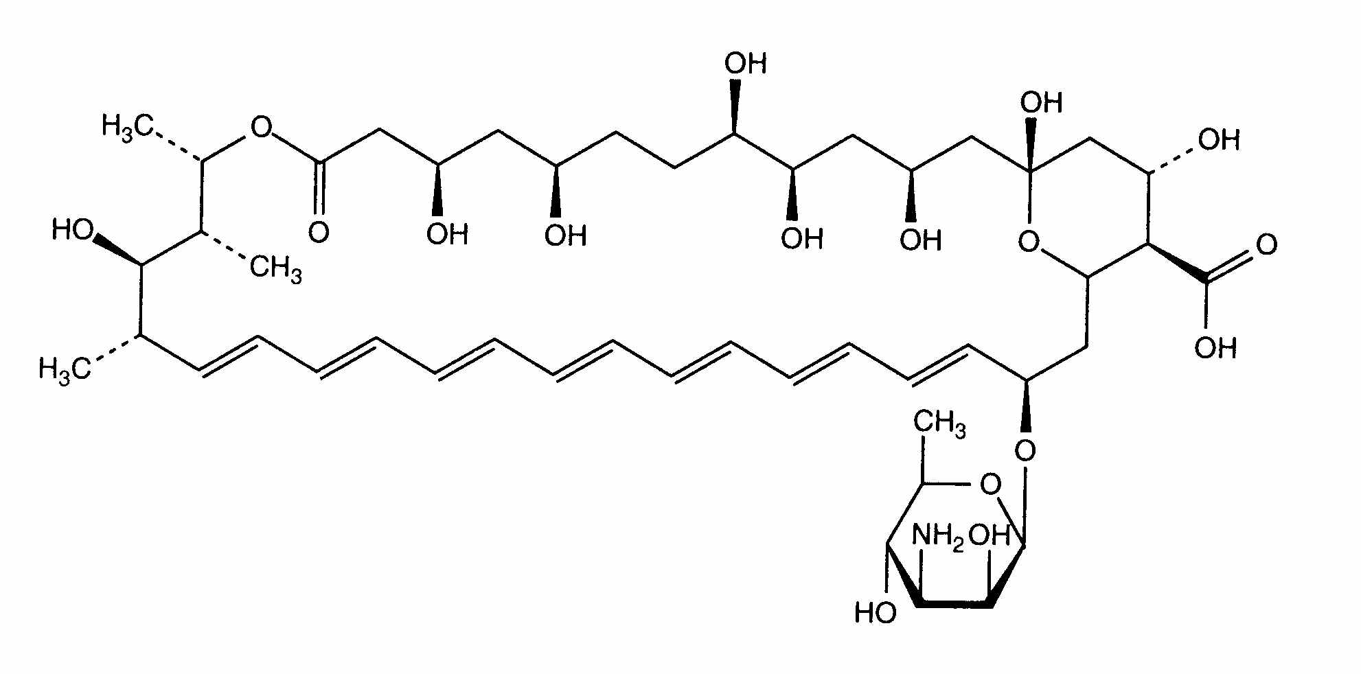
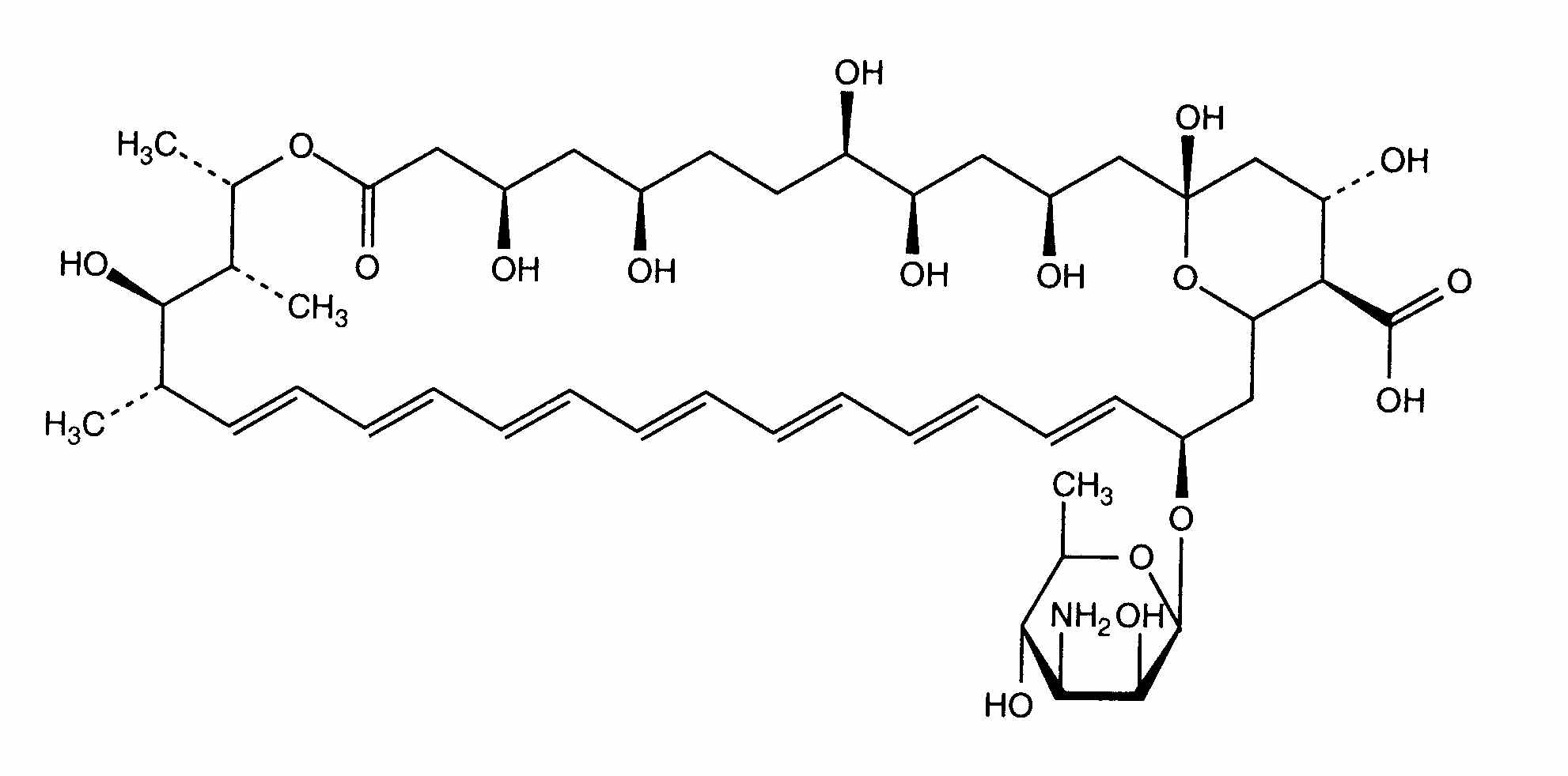
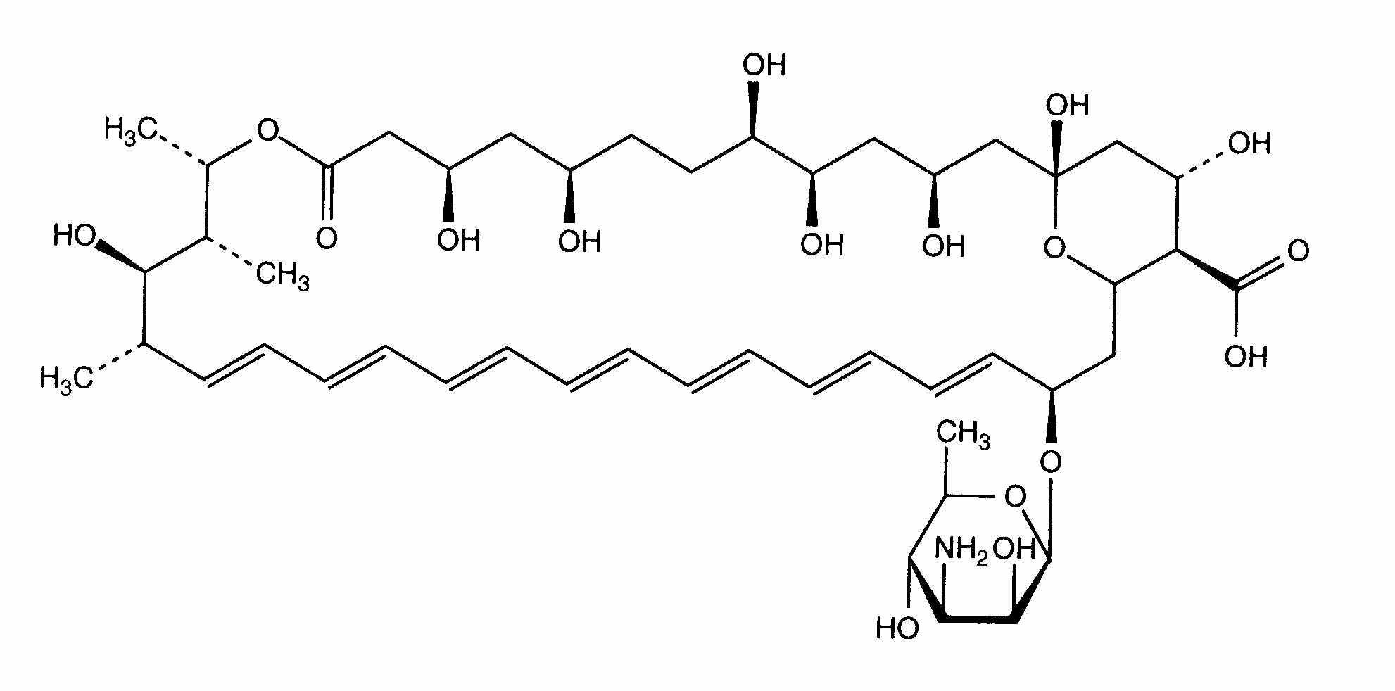
Antifungal   Amphotericin B  
Mouthwash
aerosol Eye-drops injection Oral solution
Stability of pharmaceutical preparations Stability of mixtures Factors which affect stability Compatibility References pdf
   Chemical structure  

Mouthwash
Stability of mixtures   Mouthwash   Stability of mixtures : Amphotericin B     
No data

  Mentions Légales