Dernière mise à jour :
18/03/2026
Antifongique   Amphotericin B  
Gargarisme
Aérosol Collyre injectable Solution buvable
Stabilité des préparations Stabilité en mélange Facteur influençant la stabilité Compatibilités Bibliographie pdf
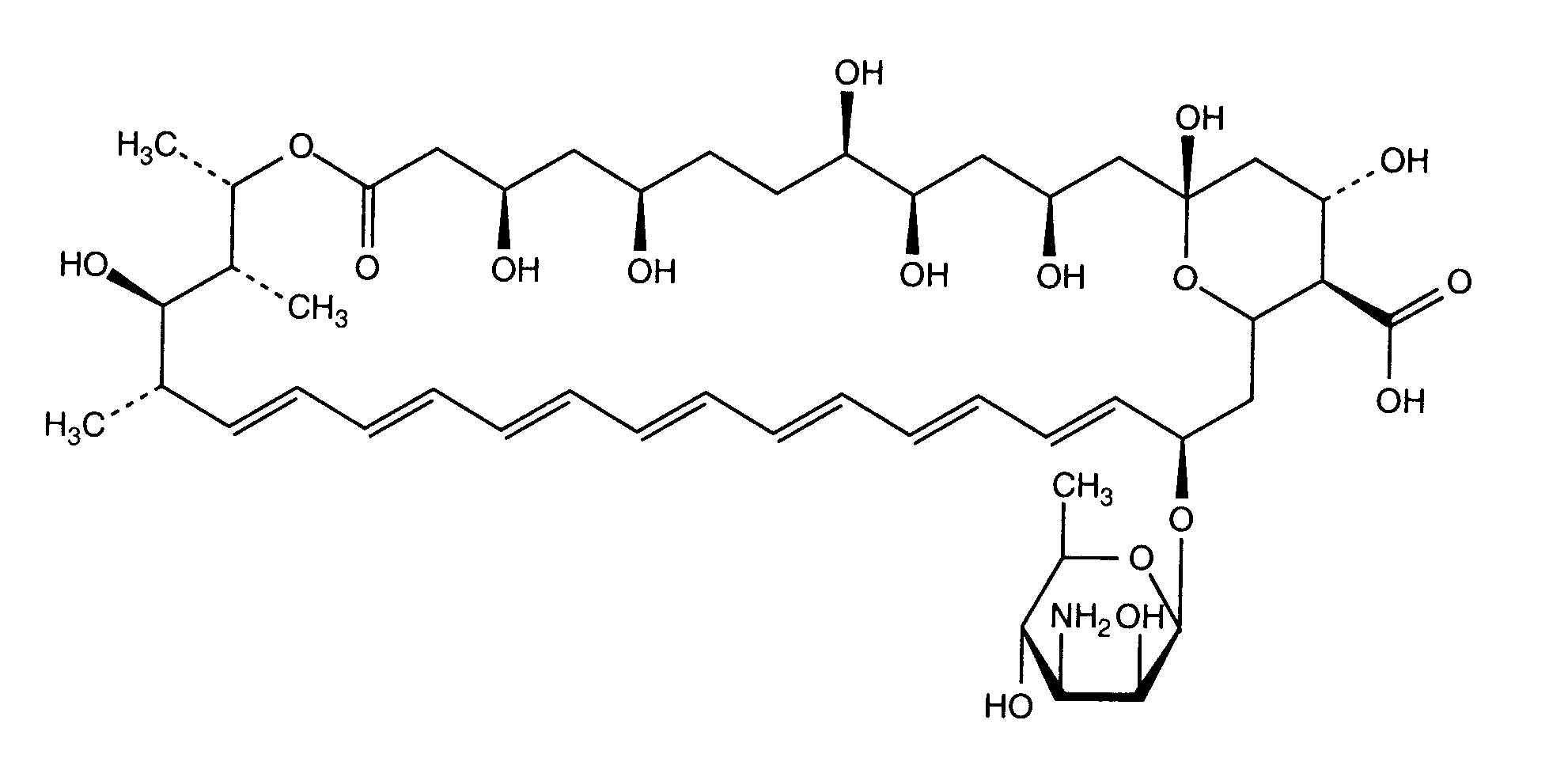
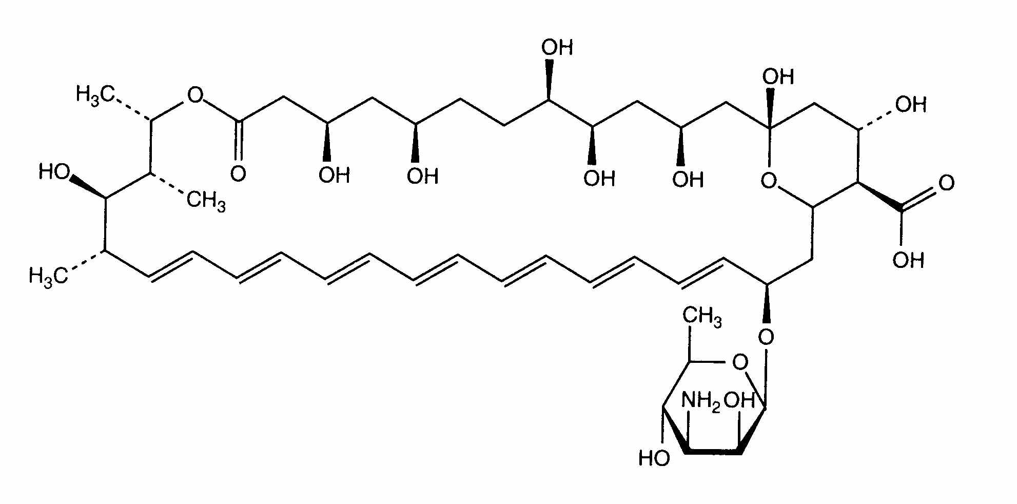
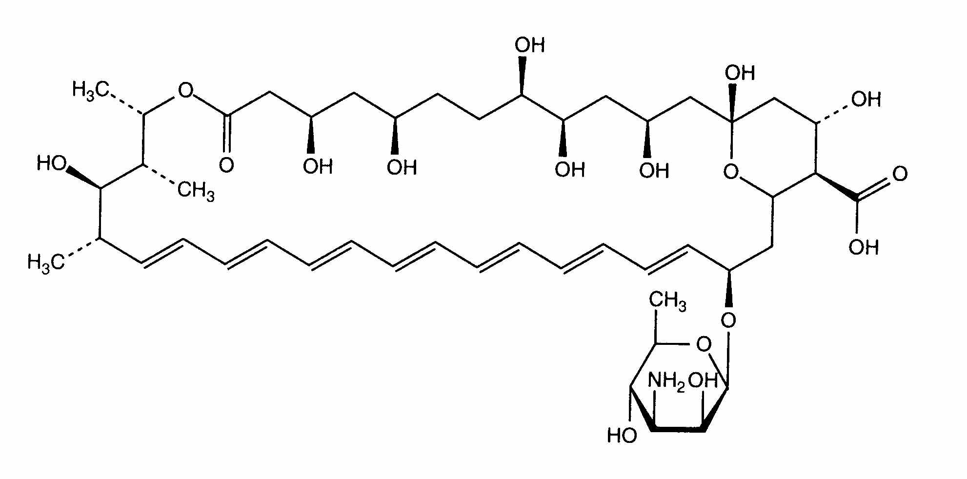
   Structure chimique  

Gargarisme
Stabilité en mélange   Gargarisme    Stabilité en mélange : Amphotericin B     
Aucune donnée

  Mentions Légales