Последно актуализиране :
18/03/2026
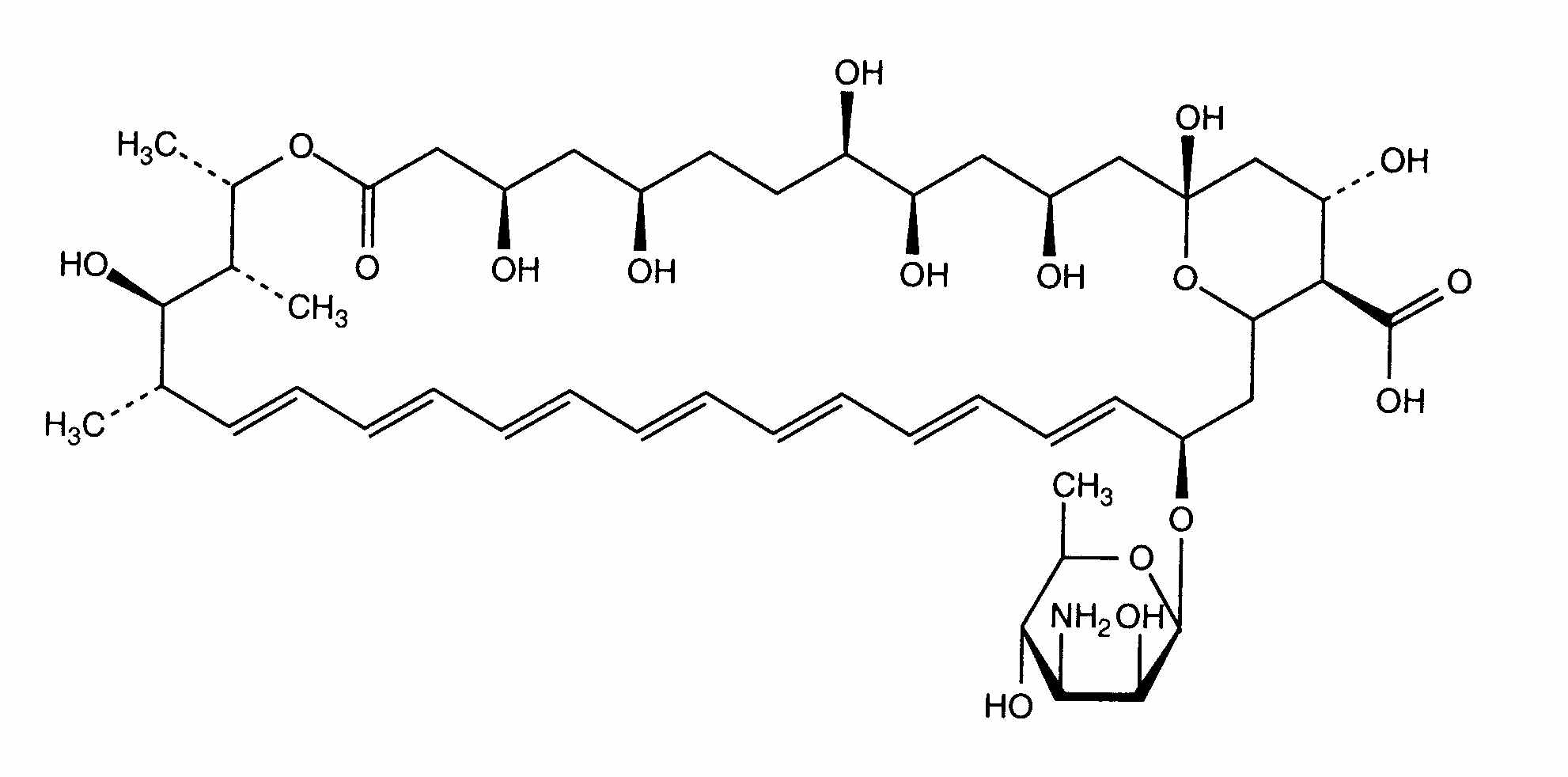
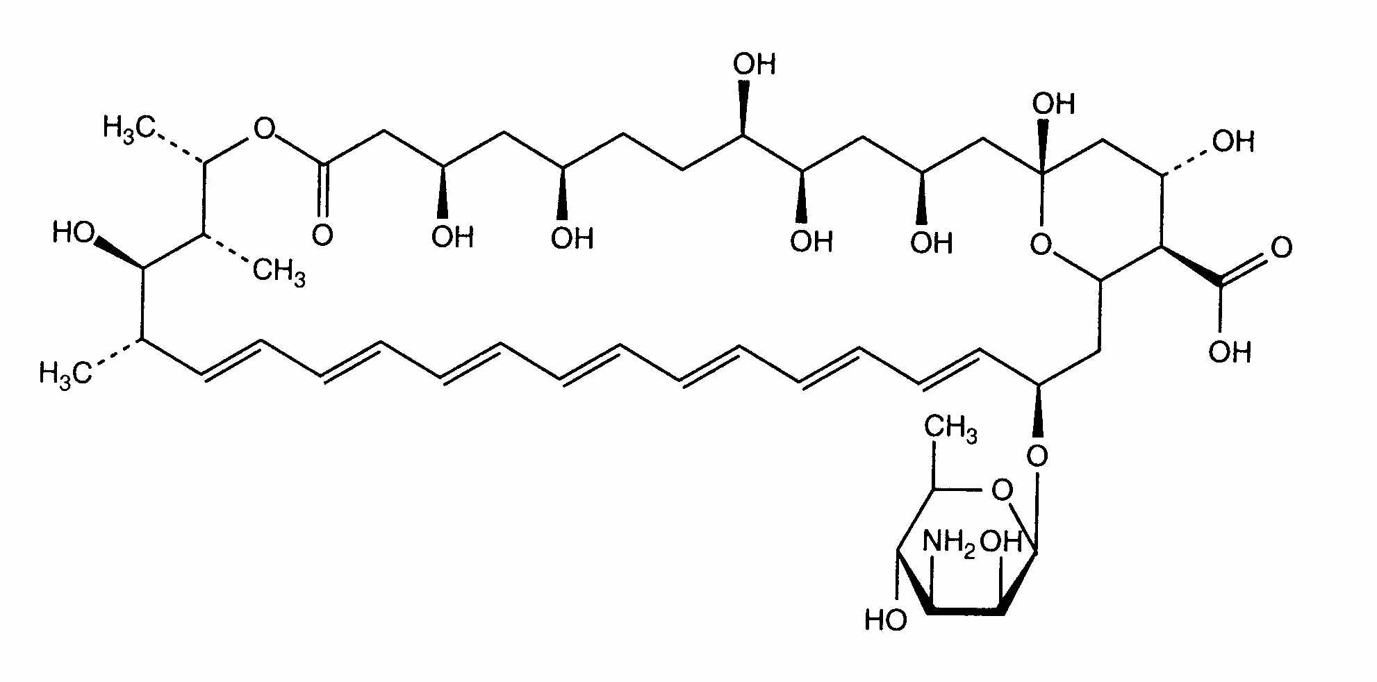
Противогъбично средство   Amphotericin B  
Разтвор за уста
Аерозол Инжекция/Инжекционен Капки за очи Орален разтвор
Стабилност на лекарствени препарати Стабилност на смеси Фактори, повлияващи стабилността Съвместимост Библиография Pdf
   Химична структура  

Разтвор за уста
Стабилност на смеси   Разтвор за уста   Стабилност на смеси : Amphotericin B     
Няма данни

  Mentions Légales