Senaste uppdateringen :
18/03/2026
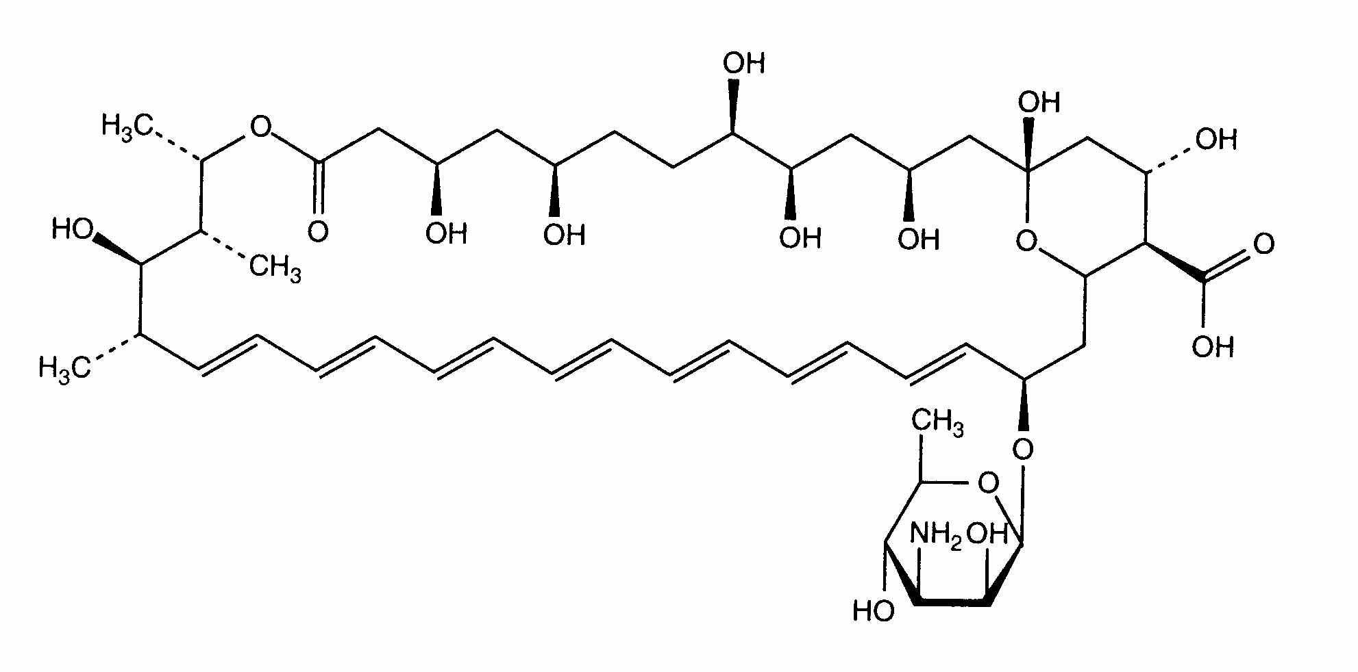
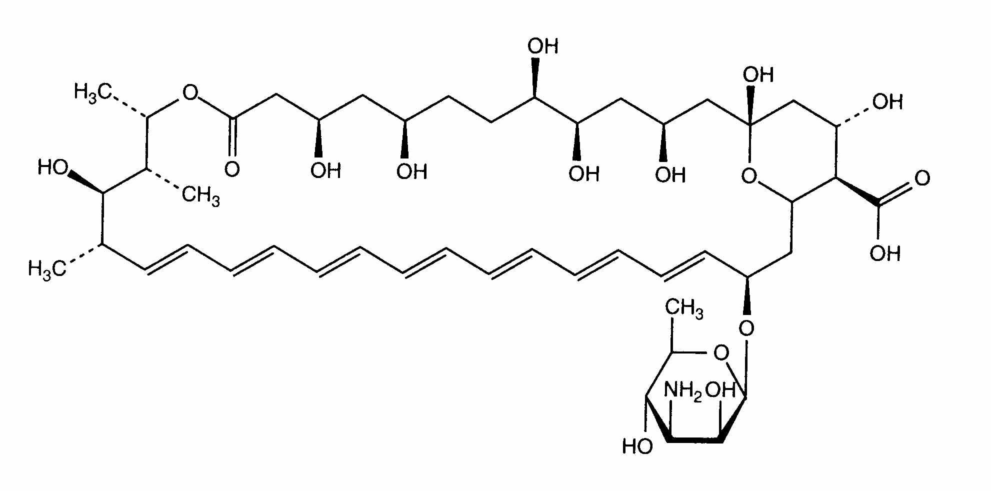
Antimykotikum   Amphotericin B  
Munvatten
Aerosol injektion ögondroppar Oral lösning
Stabilitet av läkemedel Stabilitet i blandningar Faktorer som påverkar stabiliteten Kompatibilitet Hänvisningar pdf
   Molekylstruktur  

Munvatten
Stabilitet i blandningar   Munvatten   Stabilitet i blandningar : Amphotericin B     
Ingen uppgift

  Mentions Légales