Seneste opdatering :
18/03/2026
Antisvampe   Amphotericin B  
Mundskyllevæske
Aerosol Injektion Oral opløsning Øjendråber
Stabilitet af farmaceutiske tilberedninger Stabilitet i blandinger Faktorer der påvirker stabiliteten Kompatibilitet Bibliografi pdf
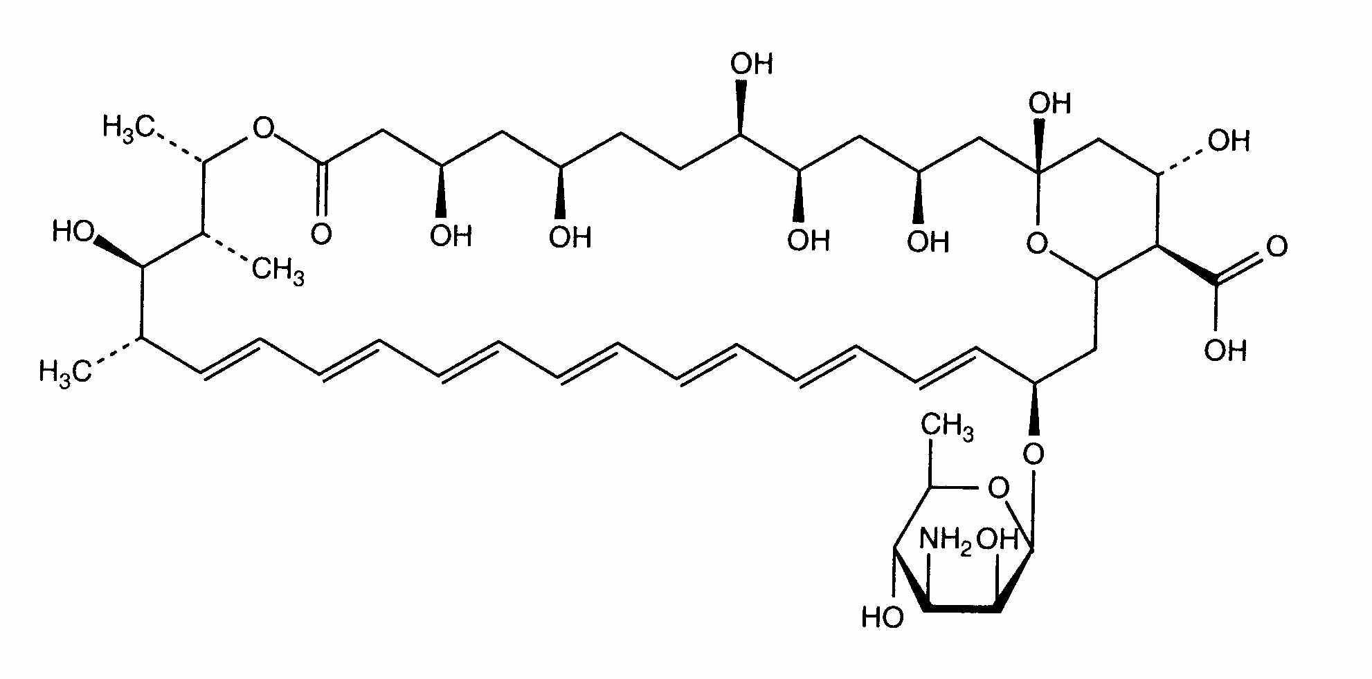
   Kemisk struktur  

Mundskyllevæske
Stabilitet i blandinger   Mundskyllevæske   Stabilitet i blandinger : Amphotericin B     
Ingen data

  Mentions Légales