Última actualización :
18/03/2026
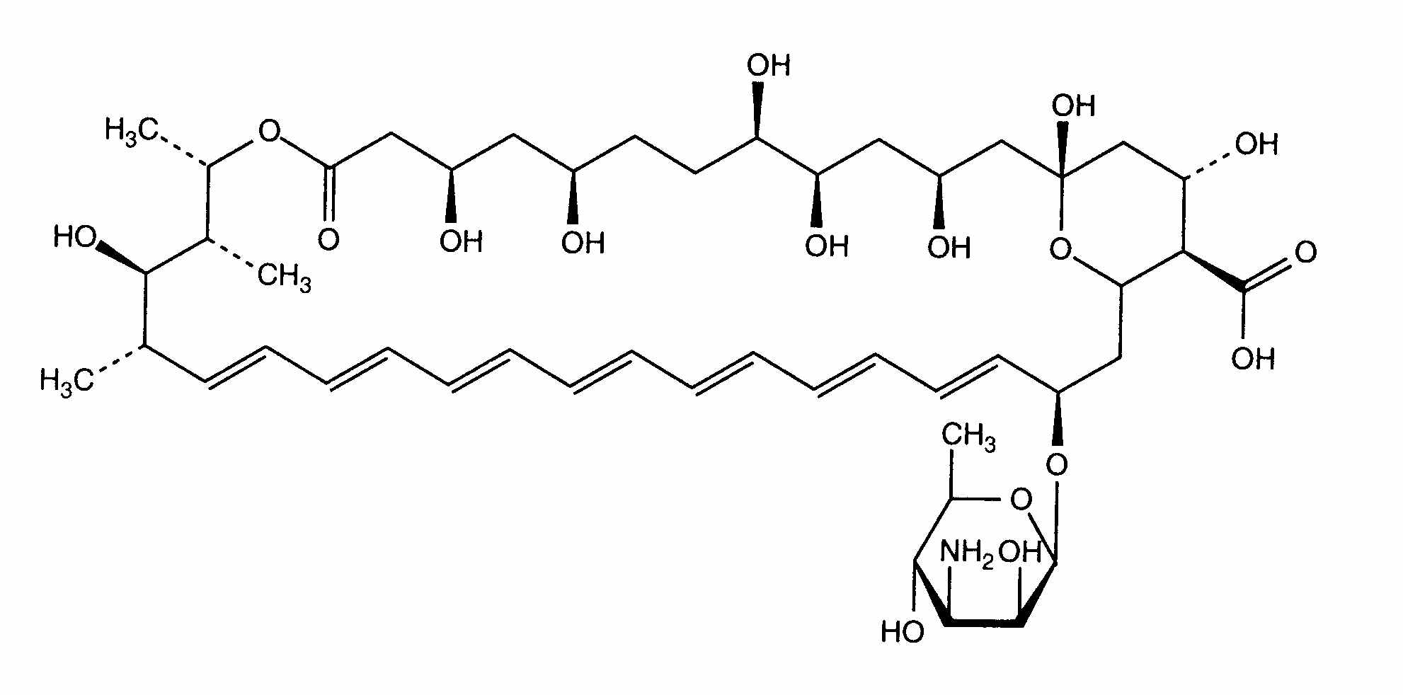
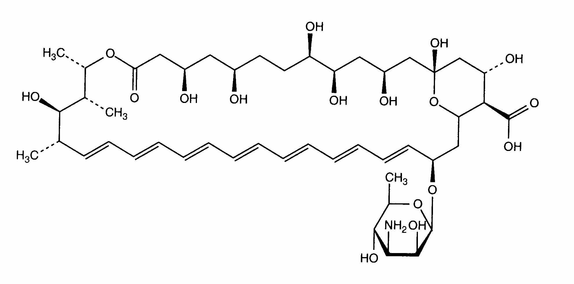
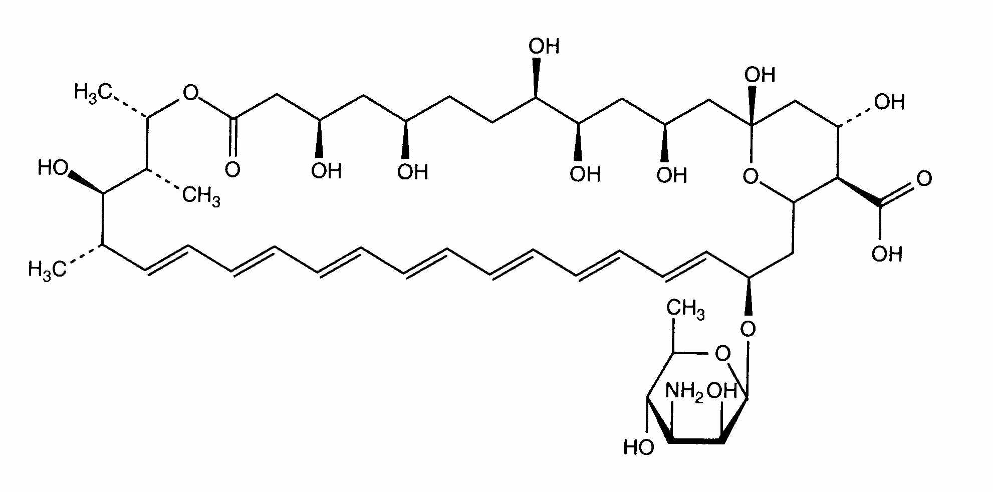
Antifúngico   Amphotericin B  
Enjuagues bucales
Aerosol Gotas oculares Inyectables Solución Oral
La estabilidad de las preparaciones farmacéuticas Estabilidad en mezcla Factores que influyen sobre la estabilidad Compatibilidades Bibliografía pdf
   Estructura química  

Enjuagues bucales
Estabilidad en mezcla   Enjuagues bucales   Estabilidad en mezcla : Amphotericin B     
Ausencia de datos

  Mentions Légales