Senaste uppdateringen :
18/03/2026
cancerläkemedel   Cabazitaxel  
injektion
Lösningars stabilitet Stabilitet i blandningar Faktorer som påverkar stabiliteten Kompatibilitet Administreringssätt Hänvisningar pdf
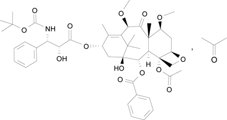
   Molekylstruktur  

Varunamn   Varunamn     

Angivna handelsnamn på läkemedel är enbart vägledande då formulering inklusive hjälpämnen kan variera mellan länder och tillverkare

Cabazil Argentina
Cabazitaxel Danmark, Finland, Spanien, Tyskland
Cecalter Argentina
Jevtana Argentina, Australien, Belgien, Brasilien, Chile, Colombia, Danmark, Ecuador, Finland, Förenta Staterna, Frankrike, Island, Italien, Kanada, Malaysia, Mexiko, Norge, Peru, Rumänien, Schweiz, Slovenien, Spanien, Storbritannien, Turkiet, Tyskland
Proazitax Brasilien
Xatiza Chile
Zitat Argentina
Lösningars stabilitet   injektion   Lösningars stabilitet : Cabazitaxel     
Behållare Lösningsmedel Koncentration Temperatur Förvaring Stabilitets varaktighet Hänvisningar
Glas Ingen 10 mg/ml 4°C Skyddas från ljus
28 Dag
3804
Evidensnivå A

Glas specifikt lösningsmedel 10 mg/ml -20°C Ej angiven
49 Dag
4800
Evidensnivå A

delvis använda injektionsflaskor Ingen 20 mg/ml 25°C Skyddas från ljus
28 Dag
4761
Evidensnivå A

Polyetylen Natriumklorid 0,9 % 0,1 >>0,26 mg/ml 25°C Skyddas från ljus
28 Dag
4761
Evidensnivå A

Polyetylen Glukos 5 % 0,1 >>0,26 mg/ml 25°C Skyddas från ljus
28 Dag
4761
Evidensnivå A

Polypropylen Natriumklorid 0,9 % 0,1 >>0,26 mg/ml 2-8°C Skyddas från ljus
28 Dag
4761
Evidensnivå A

Polypropylen Glukos 5 % 0,1 >>0,26 mg/ml 2-8°C Skyddas från ljus
28 Dag
4761
Evidensnivå A

Polyolefin Natriumklorid 0,9 % 0,1 mg/ml -20°C Ej angiven
49 Dag
4800
Evidensnivå A

Polyolefin Natriumklorid 0,9 % 0,1 mg/ml 25°C Ej angiven
21 Dag
4800
Evidensnivå A

Polyolefin Natriumklorid 0,9 % 0,1 mg/ml 4°C Ej angiven
21 Dag
4800
Evidensnivå A

Polyolefin Natriumklorid 0,9 % 0,1 >>0,26 mg/ml 25°C Skyddas från ljus
28 Dag
4761
Evidensnivå A

Polyolefin Natriumklorid 0,9 % 0,10 >> 0,26 mg/ml 2-8°C Ej angiven
48 Timma
3237
Tillverkarens stabilitetsuppgifter

Polyolefin Natriumklorid 0,9 % 0,10 >> 0,26 mg/ml 25°C Ej angiven
8 Timma
3237
Tillverkarens stabilitetsuppgifter

Polyolefin Natriumklorid 0,9 % 0,15 mg/ml 25°C Skyddas från ljus
28 Dag
3804
Evidensnivå A

Polyolefin Natriumklorid 0,9 % 0,15 mg/ml 4°C Skyddas från ljus
28 Dag
3804
Evidensnivå A

Polyolefin Natriumklorid 0,9 % 0,26 mg/ml -20°C Ej angiven
49 Dag
4800
Evidensnivå A

Polyolefin Natriumklorid 0,9 % 0,26 mg/ml 25°C Ej angiven
21 Dag
4800
Evidensnivå A

Polyolefin Natriumklorid 0,9 % 0,26 mg/ml 4°C Ej angiven
21 Dag
4800
Evidensnivå A

Polyolefin Glukos 5 % 0,1 mg/ml -20°C Ej angiven
49 Dag
4800
Evidensnivå A

Polyolefin Glukos 5 % 0,1 mg/ml 25°C Ej angiven
21 Dag
4800
Evidensnivå A

Polyolefin Glukos 5 % 0,1 mg/ml 4°C Ej angiven
21 Dag
4800
Evidensnivå A

Polyolefin Glukos 5 % 0,1 >>0,26 mg/ml 25°C Skyddas från ljus
28 Dag
4761
Evidensnivå A

Polyolefin Glukos 5 % 0,10 >> 0,26 mg/ml 2-8°C Ej angiven
48 Timma
3237
Tillverkarens stabilitetsuppgifter

Polyolefin Glukos 5 % 0,10 >> 0,26 mg/ml 25°C Ej angiven
8 Timma
3237
Tillverkarens stabilitetsuppgifter

Polyolefin Glukos 5 % 0,26 mg/ml -20°C Ej angiven
49 Dag
4800
Evidensnivå A

Polyolefin Glukos 5 % 0,26 mg/ml 25°C Ej angiven
21 Dag
4800
Evidensnivå A

Polyolefin Glukos 5 % 0,26 mg/ml 4°C Ej angiven
21 Dag
4800
Evidensnivå A


  Mentions Légales