Pēdējā atjaunošana :
18/03/2026
vēzis narkotiku   Cabazitaxel  
Injekcija
Šķīduma stabilitāte Maisījuma stabilitāte Stabilitāti ietekmējoši faktori Saderība Levadīšanas veids Literatūras saraksts pdf
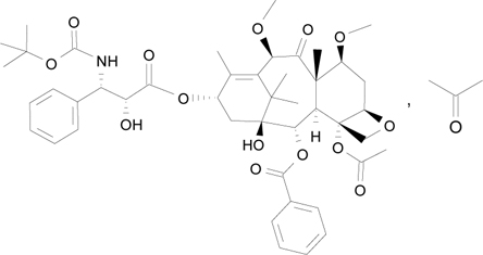
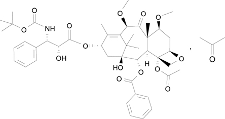
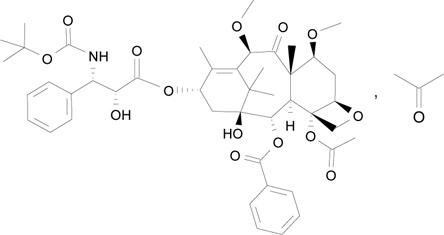
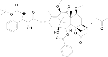
   Ķīmiskā uzbūve   

Oriģinālais nosaukums   Oriģinālais nosaukums     

Tirdzniecības nosaukumi ir apzīmējoši un palīgvielas var atšķirties dažādām valstīm un laboratorijām

Cabazil Argentīna
Cabazitaxel Dānija, Somija, Spānija, Vācija
Cecalter Argentīna
Jevtana Amerikas Savienotās Valstis, Argentīna, Austrālija, Beļģija, Brazīlija, Čīle, Dānija, Ekvadora, Francija, Islande, Itālija, Kanāda, Kolumbija, Lielbritānija, Malaizija, Meksika, Norvēģija, Peru, Rumānija, Slovēnija, Somija, Spānija, Šveice, Turcija, Vācija
Proazitax Brazīlija
Xatiza Čīle
Zitat Argentīna
Šķīduma stabilitāte   Injekcija   Šķīduma stabilitāte : Cabazitaxel     
Iepakojums Šķīdinātājs Koncentrācija Temperatūra Glabāšana Stabilitātes ilgums Literatūras saraksts
Stikls Nekāds 10 mg/ml 4°C Aizsargāt no gaismas
28 Diena
3804
Pierādījumu līmenis A

Stikls īpašu šķīdinātāju 10 mg/ml -20°C Nav specifisks
49 Diena
4800
Pierādījumu līmenis A

daļēji lietotas pudeles Nekāds 20 mg/ml 25°C Aizsargāt no gaismas
28 Diena
4761
Pierādījumu līmenis A

Polietilēns Nātrija hlorīds 0.9% 0,1 >>0,26 mg/ml 25°C Aizsargāt no gaismas
28 Diena
4761
Pierādījumu līmenis A

Polietilēns 5% glikoze 0,1 >>0,26 mg/ml 25°C Aizsargāt no gaismas
28 Diena
4761
Pierādījumu līmenis A

Polipropilēns Nātrija hlorīds 0.9% 0,1 >>0,26 mg/ml 2-8°C Aizsargāt no gaismas
28 Diena
4761
Pierādījumu līmenis A

Polipropilēns 5% glikoze 0,1 >>0,26 mg/ml 2-8°C Aizsargāt no gaismas
28 Diena
4761
Pierādījumu līmenis A

Poliolefīns Nātrija hlorīds 0.9% 0,1 mg/ml -20°C Nav specifisks
49 Diena
4800
Pierādījumu līmenis A

Poliolefīns Nātrija hlorīds 0.9% 0,1 mg/ml 25°C Nav specifisks
21 Diena
4800
Pierādījumu līmenis A

Poliolefīns Nātrija hlorīds 0.9% 0,1 mg/ml 4°C Nav specifisks
21 Diena
4800
Pierādījumu līmenis A

Poliolefīns Nātrija hlorīds 0.9% 0,1 >>0,26 mg/ml 25°C Aizsargāt no gaismas
28 Diena
4761
Pierādījumu līmenis A

Poliolefīns Nātrija hlorīds 0.9% 0,10 >> 0,26 mg/ml 2-8°C Nav specifisks
48 Stunda
3237
Ražotāja stabilitātes dati

Poliolefīns Nātrija hlorīds 0.9% 0,10 >> 0,26 mg/ml 25°C Nav specifisks
8 Stunda
3237
Ražotāja stabilitātes dati

Poliolefīns Nātrija hlorīds 0.9% 0,15 mg/ml 25°C Aizsargāt no gaismas
28 Diena
3804
Pierādījumu līmenis A

Poliolefīns Nātrija hlorīds 0.9% 0,15 mg/ml 4°C Aizsargāt no gaismas
28 Diena
3804
Pierādījumu līmenis A

Poliolefīns Nātrija hlorīds 0.9% 0,26 mg/ml -20°C Nav specifisks
49 Diena
4800
Pierādījumu līmenis A

Poliolefīns Nātrija hlorīds 0.9% 0,26 mg/ml 25°C Nav specifisks
21 Diena
4800
Pierādījumu līmenis A

Poliolefīns Nātrija hlorīds 0.9% 0,26 mg/ml 4°C Nav specifisks
21 Diena
4800
Pierādījumu līmenis A

Poliolefīns 5% glikoze 0,1 mg/ml -20°C Nav specifisks
49 Diena
4800
Pierādījumu līmenis A

Poliolefīns 5% glikoze 0,1 mg/ml 25°C Nav specifisks
21 Diena
4800
Pierādījumu līmenis A

Poliolefīns 5% glikoze 0,1 mg/ml 4°C Nav specifisks
21 Diena
4800
Pierādījumu līmenis A

Poliolefīns 5% glikoze 0,1 >>0,26 mg/ml 25°C Aizsargāt no gaismas
28 Diena
4761
Pierādījumu līmenis A

Poliolefīns 5% glikoze 0,10 >> 0,26 mg/ml 2-8°C Nav specifisks
48 Stunda
3237
Ražotāja stabilitātes dati

Poliolefīns 5% glikoze 0,10 >> 0,26 mg/ml 25°C Nav specifisks
8 Stunda
3237
Ražotāja stabilitātes dati

Poliolefīns 5% glikoze 0,26 mg/ml -20°C Nav specifisks
49 Diena
4800
Pierādījumu līmenis A

Poliolefīns 5% glikoze 0,26 mg/ml 25°C Nav specifisks
21 Diena
4800
Pierādījumu līmenis A

Poliolefīns 5% glikoze 0,26 mg/ml 4°C Nav specifisks
21 Diena
4800
Pierādījumu līmenis A


  Mentions Légales