zadnja posodobitev :
18/03/2026
rak drog   Cabazitaxel  
Brizgalka
Stabilnost raztopine Stabilnost mešanice Faktorji, ki vplivajo na stabilnost Kompatibilnost način aplikacije Viri pdf
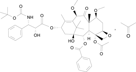
   Kemična formula  

Lastniško ime   Lastniško ime     

Sestava pomožnih snovi je med paralelami lahko različna

Cabazil Argentina
Cabazitaxel Danska, Finska, Nemčija, Španija
Cecalter Argentina
Jevtana Argentina, Avstralija, Belgija, Brazilija, Čile, Danska, Ekvador, Finska, Francija, Islandija, Italija, Kanada, Kolumbija, Malezija, Mehika, Nemčija, Norveška, Peru, Romunija, Slovenija, Španija, Švica, Turčija, Velika Britanija, Združene države Amerike
Proazitax Brazilija
Xatiza Čile
Zitat Argentina
Stabilnost raztopine   Brizgalka   Stabilnost raztopine : Cabazitaxel     
Vsebnik Topilo Koncentracija Temperatura Shranjevanje Trajanje stabilnosti Viri
Steklo Nobeden 10 mg/ml 4°C Zaščiteno pred svetlobo
28 Dan
3804
 Stopnja dokaza A

Steklo Posebni topila 10 mg/ml -20°C Nedoločeno
49 Dan
4800
 Stopnja dokaza A

delno uporabljene viale Nobeden 20 mg/ml 25°C Zaščiteno pred svetlobo
28 Dan
4761
 Stopnja dokaza A

Polietilen Natrijev klorid 0,9% 0,1 >>0,26 mg/ml 25°C Zaščiteno pred svetlobo
28 Dan
4761
 Stopnja dokaza A

Polietilen Glukoza 5% 0,1 >>0,26 mg/ml 25°C Zaščiteno pred svetlobo
28 Dan
4761
 Stopnja dokaza A

Polipropilen Natrijev klorid 0,9% 0,1 >>0,26 mg/ml 2-8°C Zaščiteno pred svetlobo
28 Dan
4761
 Stopnja dokaza A

Polipropilen Glukoza 5% 0,1 >>0,26 mg/ml 2-8°C Zaščiteno pred svetlobo
28 Dan
4761
 Stopnja dokaza A

Poliolefin Natrijev klorid 0,9% 0,1 mg/ml -20°C Nedoločeno
49 Dan
4800
 Stopnja dokaza A

Poliolefin Natrijev klorid 0,9% 0,1 mg/ml 25°C Nedoločeno
21 Dan
4800
 Stopnja dokaza A

Poliolefin Natrijev klorid 0,9% 0,1 mg/ml 4°C Nedoločeno
21 Dan
4800
 Stopnja dokaza A

Poliolefin Natrijev klorid 0,9% 0,1 >>0,26 mg/ml 25°C Zaščiteno pred svetlobo
28 Dan
4761
 Stopnja dokaza A

Poliolefin Natrijev klorid 0,9% 0,10 >> 0,26 mg/ml 2-8°C Nedoločeno
48 čas
3237
Podatki stabilnosti proizvajalca

Poliolefin Natrijev klorid 0,9% 0,10 >> 0,26 mg/ml 25°C Nedoločeno
8 čas
3237
Podatki stabilnosti proizvajalca

Poliolefin Natrijev klorid 0,9% 0,15 mg/ml 25°C Zaščiteno pred svetlobo
28 Dan
3804
 Stopnja dokaza A

Poliolefin Natrijev klorid 0,9% 0,15 mg/ml 4°C Zaščiteno pred svetlobo
28 Dan
3804
 Stopnja dokaza A

Poliolefin Natrijev klorid 0,9% 0,26 mg/ml -20°C Nedoločeno
49 Dan
4800
 Stopnja dokaza A

Poliolefin Natrijev klorid 0,9% 0,26 mg/ml 25°C Nedoločeno
21 Dan
4800
 Stopnja dokaza A

Poliolefin Natrijev klorid 0,9% 0,26 mg/ml 4°C Nedoločeno
21 Dan
4800
 Stopnja dokaza A

Poliolefin Glukoza 5% 0,1 mg/ml -20°C Nedoločeno
49 Dan
4800
 Stopnja dokaza A

Poliolefin Glukoza 5% 0,1 mg/ml 25°C Nedoločeno
21 Dan
4800
 Stopnja dokaza A

Poliolefin Glukoza 5% 0,1 mg/ml 4°C Nedoločeno
21 Dan
4800
 Stopnja dokaza A

Poliolefin Glukoza 5% 0,1 >>0,26 mg/ml 25°C Zaščiteno pred svetlobo
28 Dan
4761
 Stopnja dokaza A

Poliolefin Glukoza 5% 0,10 >> 0,26 mg/ml 2-8°C Nedoločeno
48 čas
3237
Podatki stabilnosti proizvajalca

Poliolefin Glukoza 5% 0,10 >> 0,26 mg/ml 25°C Nedoločeno
8 čas
3237
Podatki stabilnosti proizvajalca

Poliolefin Glukoza 5% 0,26 mg/ml -20°C Nedoločeno
49 Dan
4800
 Stopnja dokaza A

Poliolefin Glukoza 5% 0,26 mg/ml 25°C Nedoločeno
21 Dan
4800
 Stopnja dokaza A

Poliolefin Glukoza 5% 0,26 mg/ml 4°C Nedoločeno
21 Dan
4800
 Stopnja dokaza A


  Mentions Légales