Viimeisin päivitys :
18/03/2026
syöpälääke   Cabazitaxel  
Injektioneste
Stabilius liuoksessa Stabilius seoksissa Tekijät, jotka vaikuttavat stabiliuteen Yhteensopivuus Antotapa Viitteet pdf
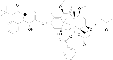
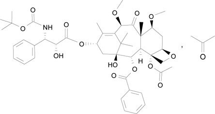
   Kemiallinen rakenne  

Kauppanimi   Kauppanimi     

Trade names are indicative and excipients composition can be different depending on the country and manufacturers

Cabazil Argentiina
Cabazitaxel Espanja, Saksa, Suomi, Tanska
Cecalter Argentiina
Jevtana Argentiina, Australia, Belgia, Brasilia, Chile, Ecuador, Espanja, Islanti, Iso-Britannia, Italia, Kanada, Kolumbia, Malesia, Marokko, Meksiko, Norja, Ranska, Romania, Saksa, Slovenia, Suomi, Sveitsi, Tanska, Turkki, Yhdysvallat
Proazitax Brasilia
Xatiza Chile
Zitat Argentiina
Stabilius liuoksessa   Injektioneste   Stabilius liuoksessa : Cabazitaxel     
Astia Liuotin Konsentraatio Lämpötila Säilytys Vakauden kesto Viitteet
Lasi Ei mikään 10 mg/ml 4°C Suojattava valolta
28 Päivä
3804
Näytön laajuus A

Lasi spesifiseen liuottimeen 10 mg/ml -20°C Ei määritetty
49 Päivä
4800
Näytön laajuus A

osittain käytetyt pullot Ei mikään 20 mg/ml 25°C Suojattava valolta
28 Päivä
4761
Näytön laajuus A

Polyetyleeni Natriumkloridi 0,9% 0,1 >>0,26 mg/ml 25°C Suojattava valolta
28 Päivä
4761
Näytön laajuus A

Polyetyleeni Glukoosi 5% 0,1 >>0,26 mg/ml 25°C Suojattava valolta
28 Päivä
4761
Näytön laajuus A

Polypropyleeni Natriumkloridi 0,9% 0,1 >>0,26 mg/ml 2-8°C Suojattava valolta
28 Päivä
4761
Näytön laajuus A

Polypropyleeni Glukoosi 5% 0,1 >>0,26 mg/ml 2-8°C Suojattava valolta
28 Päivä
4761
Näytön laajuus A

Polyolefiini Natriumkloridi 0,9% 0,1 mg/ml -20°C Ei määritetty
49 Päivä
4800
Näytön laajuus A

Polyolefiini Natriumkloridi 0,9% 0,1 mg/ml 25°C Ei määritetty
21 Päivä
4800
Näytön laajuus A

Polyolefiini Natriumkloridi 0,9% 0,1 mg/ml 4°C Ei määritetty
21 Päivä
4800
Näytön laajuus A

Polyolefiini Natriumkloridi 0,9% 0,1 >>0,26 mg/ml 25°C Suojattava valolta
28 Päivä
4761
Näytön laajuus A

Polyolefiini Natriumkloridi 0,9% 0,10 >> 0,26 mg/ml 2-8°C Ei määritetty
48 tunti
3237
Valmistajan antamat stabiiliustiedot

Polyolefiini Natriumkloridi 0,9% 0,10 >> 0,26 mg/ml 25°C Ei määritetty
8 tunti
3237
Valmistajan antamat stabiiliustiedot

Polyolefiini Natriumkloridi 0,9% 0,15 mg/ml 25°C Suojattava valolta
28 Päivä
3804
Näytön laajuus A

Polyolefiini Natriumkloridi 0,9% 0,15 mg/ml 4°C Suojattava valolta
28 Päivä
3804
Näytön laajuus A

Polyolefiini Natriumkloridi 0,9% 0,26 mg/ml -20°C Ei määritetty
49 Päivä
4800
Näytön laajuus A

Polyolefiini Natriumkloridi 0,9% 0,26 mg/ml 25°C Ei määritetty
21 Päivä
4800
Näytön laajuus A

Polyolefiini Natriumkloridi 0,9% 0,26 mg/ml 4°C Ei määritetty
21 Päivä
4800
Näytön laajuus A

Polyolefiini Glukoosi 5% 0,1 mg/ml -20°C Ei määritetty
49 Päivä
4800
Näytön laajuus A

Polyolefiini Glukoosi 5% 0,1 mg/ml 25°C Ei määritetty
21 Päivä
4800
Näytön laajuus A

Polyolefiini Glukoosi 5% 0,1 mg/ml 4°C Ei määritetty
21 Päivä
4800
Näytön laajuus A

Polyolefiini Glukoosi 5% 0,1 >>0,26 mg/ml 25°C Suojattava valolta
28 Päivä
4761
Näytön laajuus A

Polyolefiini Glukoosi 5% 0,10 >> 0,26 mg/ml 2-8°C Ei määritetty
48 tunti
3237
Valmistajan antamat stabiiliustiedot

Polyolefiini Glukoosi 5% 0,10 >> 0,26 mg/ml 25°C Ei määritetty
8 tunti
3237
Valmistajan antamat stabiiliustiedot

Polyolefiini Glukoosi 5% 0,26 mg/ml -20°C Ei määritetty
49 Päivä
4800
Näytön laajuus A

Polyolefiini Glukoosi 5% 0,26 mg/ml 25°C Ei määritetty
21 Päivä
4800
Näytön laajuus A

Polyolefiini Glukoosi 5% 0,26 mg/ml 4°C Ei määritetty
21 Päivä
4800
Näytön laajuus A


  Mentions Légales