Laatste update :
17/12/2025
geneesmiddel tegen kanker   Cabazitaxel  
injecteerbaar geneesmiddel
Stabiliteit in oplossing Stabiliteit in mengsels Factoren die de stabiliteit beïnvloeden Verenigbaarheden Toedieningswijze Literatuur pdf
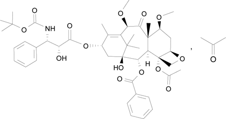
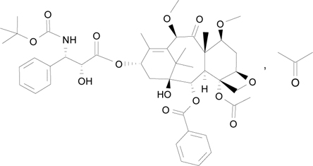
   Molecuulstructuur  

Merknamen in verschillende landen   Merknamen in verschillende landen     

Handelsnamen zijn slechts een indicatie; de samenstelling van hulpstoffen kan per land variëren afhankelijk van de fabrikant

Cabazil Argentinië
Cabazitaxel Denemarken, Duitsland, Finland, Spanje
Cecalter Argentinië
Jevtana Argentinië, Australië, België, Brazilië, Canada, Chili, Colombia, Denemarken, Duitsland, Ecuador, Finland, Frankrijk, Groot Britannië, IJsland, Italië, Maleisië, Mexico, Noorwegen, Peru, Roemenië, Slovenië, Spanje, Turkije, USA, Zwitserland
Proazitax Brazilië
Xatiza Chili
Zitat Argentinië
Stabiliteit in oplossing   injecteerbaar geneesmiddel   Stabiliteit in oplossing : Cabazitaxel     
Verpakking Oplosmiddel Concentratie Temperatuur Bewaring Duur van de stabiliteit Literatuur
Glas Geen 10 mg/ml 4°C Buiten invloed van licht
28 Dag
3804
Bewijsniveau A

Glas specifieke solvent 10 mg/ml -20°C Niet gespecificeerd
49 Dag
4800
Bewijsniveau A

gedeeltelijk gebruikte flessen Geen 20 mg/ml 25°C Buiten invloed van licht
28 Dag
4761
Bewijsniveau A

Polyethyleen (PE) Natriumchloride 0,9% 0,1 >>0,26 mg/ml 25°C Buiten invloed van licht
28 Dag
4761
Bewijsniveau A

Polyethyleen (PE) Glucose 5% 0,1 >>0,26 mg/ml 25°C Buiten invloed van licht
28 Dag
4761
Bewijsniveau A

Polypropyleen (PP) Natriumchloride 0,9% 0,1 >>0,26 mg/ml 2-8°C Buiten invloed van licht
28 Dag
4761
Bewijsniveau A

Polypropyleen (PP) Glucose 5% 0,1 >>0,26 mg/ml 2-8°C Buiten invloed van licht
28 Dag
4761
Bewijsniveau A

Polyolefine Natriumchloride 0,9% 0,1 mg/ml -20°C Niet gespecificeerd
49 Dag
4800
Bewijsniveau A

Polyolefine Natriumchloride 0,9% 0,1 mg/ml 25°C Niet gespecificeerd
21 Dag
4800
Bewijsniveau A

Polyolefine Natriumchloride 0,9% 0,1 mg/ml 4°C Niet gespecificeerd
21 Dag
4800
Bewijsniveau A

Polyolefine Natriumchloride 0,9% 0,1 >>0,26 mg/ml 25°C Buiten invloed van licht
28 Dag
4761
Bewijsniveau A

Polyolefine Natriumchloride 0,9% 0,10 >> 0,26 mg/ml 2-8°C Niet gespecificeerd
48 Uur
3237
Stabiliteitsgegevens van de fabrikant

Polyolefine Natriumchloride 0,9% 0,10 >> 0,26 mg/ml 25°C Niet gespecificeerd
8 Uur
3237
Stabiliteitsgegevens van de fabrikant

Polyolefine Natriumchloride 0,9% 0,15 mg/ml 25°C Buiten invloed van licht
28 Dag
3804
Bewijsniveau A

Polyolefine Natriumchloride 0,9% 0,15 mg/ml 4°C Buiten invloed van licht
28 Dag
3804
Bewijsniveau A

Polyolefine Natriumchloride 0,9% 0,26 mg/ml -20°C Niet gespecificeerd
49 Dag
4800
Bewijsniveau A

Polyolefine Natriumchloride 0,9% 0,26 mg/ml 25°C Niet gespecificeerd
21 Dag
4800
Bewijsniveau A

Polyolefine Natriumchloride 0,9% 0,26 mg/ml 4°C Niet gespecificeerd
21 Dag
4800
Bewijsniveau A

Polyolefine Glucose 5% 0,1 mg/ml -20°C Niet gespecificeerd
49 Dag
4800
Bewijsniveau A

Polyolefine Glucose 5% 0,1 mg/ml 25°C Niet gespecificeerd
21 Dag
4800
Bewijsniveau A

Polyolefine Glucose 5% 0,1 mg/ml 4°C Niet gespecificeerd
21 Dag
4800
Bewijsniveau A

Polyolefine Glucose 5% 0,1 >>0,26 mg/ml 25°C Buiten invloed van licht
28 Dag
4761
Bewijsniveau A

Polyolefine Glucose 5% 0,10 >> 0,26 mg/ml 2-8°C Niet gespecificeerd
48 Uur
3237
Stabiliteitsgegevens van de fabrikant

Polyolefine Glucose 5% 0,10 >> 0,26 mg/ml 25°C Niet gespecificeerd
8 Uur
3237
Stabiliteitsgegevens van de fabrikant

Polyolefine Glucose 5% 0,26 mg/ml -20°C Niet gespecificeerd
49 Dag
4800
Bewijsniveau A

Polyolefine Glucose 5% 0,26 mg/ml 25°C Niet gespecificeerd
21 Dag
4800
Bewijsniveau A

Polyolefine Glucose 5% 0,26 mg/ml 4°C Niet gespecificeerd
21 Dag
4800
Bewijsniveau A


  Mentions Légales