Siste oppdatering :
03/02/2026
kreft narkotika   Cabazitaxel  
Injeksjon
Oppløsningsstabilitet Stabilitet i blandinger Faktorer som påvirker stabiliteten Kompatibilitet Administrasjonsmåte Referanser pdf
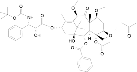
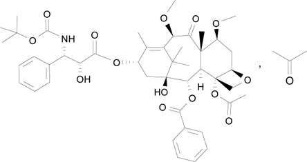
   Kjemisk struktur  

Handelsnavn   Handelsnavn     

Handelsnavn er veiledende og sammensetning av hjelpestoffer kan være forskjellig avhengig av land og produsent

Cabazil Argentina
Cabazitaxel Danmark, Finland, Spania, Tyskland
Cecalter Argentina
Jevtana Argentina, Australia, Belgia, Brasil, Canada, Chile, Colombia, Danmark, Ecuador, Finland, Frankrike, Island, Italia, Malaysia, Mexico, Norge, Peru, Romania, Slovenia, Spania, Storbritannia, Sveits, Tyrkia, Tyskland, USA
Proazitax Brasil
Xatiza Chile
Zitat Argentina
Oppløsningsstabilitet   Injeksjon   Oppløsningsstabilitet : Cabazitaxel     
Beholder Oppløsningsmiddel Konsentrasjon Temperatur Oppbevaring Varighet av stabilitet Referanser
Glass Ingen 10 mg/ml 4°C Beskyttes mot lys
28 Dag
3804
Bevisgrad A

Glass spesifikk løsemiddel 10 mg/ml -20°C Ikke angitt
49 Dag
4800
Bevisgrad A

delvis brukte hetteglass Ingen 20 mg/ml 25°C Beskyttes mot lys
28 Dag
4761
Bevisgrad A

Polyetylen Natriumklorid 0,9 % 0,1 >>0,26 mg/ml 25°C Beskyttes mot lys
28 Dag
4761
Bevisgrad A

Polyetylen Glukose 5 % 0,1 >>0,26 mg/ml 25°C Beskyttes mot lys
28 Dag
4761
Bevisgrad A

Polypropylen Natriumklorid 0,9 % 0,1 >>0,26 mg/ml 2-8°C Beskyttes mot lys
28 Dag
4761
Bevisgrad A

Polypropylen Glukose 5 % 0,1 >>0,26 mg/ml 2-8°C Beskyttes mot lys
28 Dag
4761
Bevisgrad A

Polyolefin Natriumklorid 0,9 % 0,1 mg/ml -20°C Ikke angitt
49 Dag
4800
Bevisgrad A

Polyolefin Natriumklorid 0,9 % 0,1 mg/ml 25°C Ikke angitt
21 Dag
4800
Bevisgrad A

Polyolefin Natriumklorid 0,9 % 0,1 mg/ml 4°C Ikke angitt
21 Dag
4800
Bevisgrad A

Polyolefin Natriumklorid 0,9 % 0,1 >>0,26 mg/ml 25°C Beskyttes mot lys
28 Dag
4761
Bevisgrad A

Polyolefin Natriumklorid 0,9 % 0,10 >> 0,26 mg/ml 2-8°C Ikke angitt
48 Tid
3237
Stabilitetsopplysninger fra produsent

Polyolefin Natriumklorid 0,9 % 0,10 >> 0,26 mg/ml 25°C Ikke angitt
8 Tid
3237
Stabilitetsopplysninger fra produsent

Polyolefin Natriumklorid 0,9 % 0,15 mg/ml 25°C Beskyttes mot lys
28 Dag
3804
Bevisgrad A

Polyolefin Natriumklorid 0,9 % 0,15 mg/ml 4°C Beskyttes mot lys
28 Dag
3804
Bevisgrad A

Polyolefin Natriumklorid 0,9 % 0,26 mg/ml -20°C Ikke angitt
49 Dag
4800
Bevisgrad A

Polyolefin Natriumklorid 0,9 % 0,26 mg/ml 25°C Ikke angitt
21 Dag
4800
Bevisgrad A

Polyolefin Natriumklorid 0,9 % 0,26 mg/ml 4°C Ikke angitt
21 Dag
4800
Bevisgrad A

Polyolefin Glukose 5 % 0,1 mg/ml -20°C Ikke angitt
49 Dag
4800
Bevisgrad A

Polyolefin Glukose 5 % 0,1 mg/ml 25°C Ikke angitt
21 Dag
4800
Bevisgrad A

Polyolefin Glukose 5 % 0,1 mg/ml 4°C Ikke angitt
21 Dag
4800
Bevisgrad A

Polyolefin Glukose 5 % 0,1 >>0,26 mg/ml 25°C Beskyttes mot lys
28 Dag
4761
Bevisgrad A

Polyolefin Glukose 5 % 0,10 >> 0,26 mg/ml 2-8°C Ikke angitt
48 Tid
3237
Stabilitetsopplysninger fra produsent

Polyolefin Glukose 5 % 0,10 >> 0,26 mg/ml 25°C Ikke angitt
8 Tid
3237
Stabilitetsopplysninger fra produsent

Polyolefin Glukose 5 % 0,26 mg/ml -20°C Ikke angitt
49 Dag
4800
Bevisgrad A

Polyolefin Glukose 5 % 0,26 mg/ml 25°C Ikke angitt
21 Dag
4800
Bevisgrad A

Polyolefin Glukose 5 % 0,26 mg/ml 4°C Ikke angitt
21 Dag
4800
Bevisgrad A


  Mentions Légales