viimane versioon :
18/03/2026
vähiravimite   Cabazitaxel  
Süsteravim
Stabiilsus lahustes Stabiilsust mõjutavad tegurid stabiilsust mõjutavad faktorid Sobimatus Manustamis viis Viited pdf
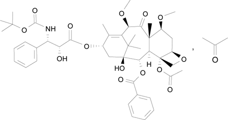
   keemiline struktuur  

Kaubanduslikud nimed erinevates maades   Kaubanduslikud nimed erinevates maades     

Preparaatide nimed on näitlikud ja abianete sisaldus võib erineda sõltuvalt riigist ja laborist

Cabazil Argentiina
Cabazitaxel Hispaania, Saksamaa, Soome, Taani
Cecalter Argentiina
Jevtana Ameerika ühendriigid, Argentiina, Austraalia, Belgia, Brasiilia, Ecuador, Hispaania, Island, Itaalia, Kanada, Kolumbia, Malaisia, Maroko, Mehhiko, Norra, Prantsusmaa, Rumeenia, Saksamaa, Sloveenia, Soome, Suurbritannia, Sveits, Taani, Tšiili, Türgi
Proazitax Brasiilia
Xatiza Tšiili
Zitat Argentiina
Stabiilsus lahustes   Süsteravim   Stabiilsus lahustes : Cabazitaxel     
konteiner lahusti kontsentratsioon temperatuur ladustamine Stabiilsuse kestus Viited
klaas mitte ükski 10 mg/ml 4°C kaitsta valguse eest
28 päev
3804
Tõenduspõhisuse tase A

klaas konkreetsed lahusti 10 mg/ml -20°C pole täpsustatud
49 päev
4800
Tõenduspõhisuse tase A

osaliselt kasutatud pudelid mitte ükski 20 mg/ml 25°C kaitsta valguse eest
28 päev
4761
Tõenduspõhisuse tase A

polüetüleen naatriumkloriid 0.9% 0,1 >>0,26 mg/ml 25°C kaitsta valguse eest
28 päev
4761
Tõenduspõhisuse tase A

polüetüleen glükoos 5% 0,1 >>0,26 mg/ml 25°C kaitsta valguse eest
28 päev
4761
Tõenduspõhisuse tase A

polüpropüleen naatriumkloriid 0.9% 0,1 >>0,26 mg/ml 2-8°C kaitsta valguse eest
28 päev
4761
Tõenduspõhisuse tase A

polüpropüleen glükoos 5% 0,1 >>0,26 mg/ml 2-8°C kaitsta valguse eest
28 päev
4761
Tõenduspõhisuse tase A

polüolefiin naatriumkloriid 0.9% 0,1 mg/ml -20°C pole täpsustatud
49 päev
4800
Tõenduspõhisuse tase A

polüolefiin naatriumkloriid 0.9% 0,1 mg/ml 25°C pole täpsustatud
21 päev
4800
Tõenduspõhisuse tase A

polüolefiin naatriumkloriid 0.9% 0,1 mg/ml 4°C pole täpsustatud
21 päev
4800
Tõenduspõhisuse tase A

polüolefiin naatriumkloriid 0.9% 0,1 >>0,26 mg/ml 25°C kaitsta valguse eest
28 päev
4761
Tõenduspõhisuse tase A

polüolefiin naatriumkloriid 0.9% 0,10 >> 0,26 mg/ml 2-8°C pole täpsustatud
48 Tund
3237
Tootja info stabiilsuse kohta

polüolefiin naatriumkloriid 0.9% 0,10 >> 0,26 mg/ml 25°C pole täpsustatud
8 Tund
3237
Tootja info stabiilsuse kohta

polüolefiin naatriumkloriid 0.9% 0,15 mg/ml 25°C kaitsta valguse eest
28 päev
3804
Tõenduspõhisuse tase A

polüolefiin naatriumkloriid 0.9% 0,15 mg/ml 4°C kaitsta valguse eest
28 päev
3804
Tõenduspõhisuse tase A

polüolefiin naatriumkloriid 0.9% 0,26 mg/ml -20°C pole täpsustatud
49 päev
4800
Tõenduspõhisuse tase A

polüolefiin naatriumkloriid 0.9% 0,26 mg/ml 25°C pole täpsustatud
21 päev
4800
Tõenduspõhisuse tase A

polüolefiin naatriumkloriid 0.9% 0,26 mg/ml 4°C pole täpsustatud
21 päev
4800
Tõenduspõhisuse tase A

polüolefiin glükoos 5% 0,1 mg/ml -20°C pole täpsustatud
49 päev
4800
Tõenduspõhisuse tase A

polüolefiin glükoos 5% 0,1 mg/ml 25°C pole täpsustatud
21 päev
4800
Tõenduspõhisuse tase A

polüolefiin glükoos 5% 0,1 mg/ml 4°C pole täpsustatud
21 päev
4800
Tõenduspõhisuse tase A

polüolefiin glükoos 5% 0,1 >>0,26 mg/ml 25°C kaitsta valguse eest
28 päev
4761
Tõenduspõhisuse tase A

polüolefiin glükoos 5% 0,10 >> 0,26 mg/ml 2-8°C pole täpsustatud
48 Tund
3237
Tootja info stabiilsuse kohta

polüolefiin glükoos 5% 0,10 >> 0,26 mg/ml 25°C pole täpsustatud
8 Tund
3237
Tootja info stabiilsuse kohta

polüolefiin glükoos 5% 0,26 mg/ml -20°C pole täpsustatud
49 päev
4800
Tõenduspõhisuse tase A

polüolefiin glükoos 5% 0,26 mg/ml 25°C pole täpsustatud
21 päev
4800
Tõenduspõhisuse tase A

polüolefiin glükoos 5% 0,26 mg/ml 4°C pole täpsustatud
21 päev
4800
Tõenduspõhisuse tase A


  Mentions Légales