Última actualización :
18/03/2026
fármacos contra el cáncer   Cabazitaxel  
Inyectables
Estabilidad en solucion Estabilidad en mezcla Factores que influyen sobre la estabilidad Compatibilidades método de inyección Bibliografía pdf
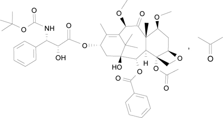
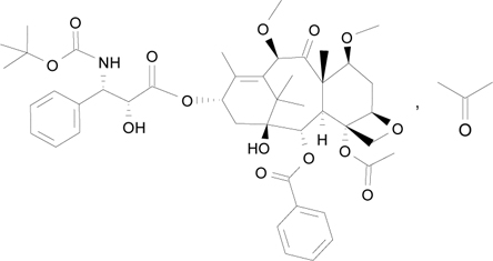
   Estructura química  

Nombre comercial   Nombre comercial     

Los nombres comerciales son orientativos y los excipientes de la formulación pueden ser distintos dependiendo del país y del laboratorio fabricante.

Cabazil Argentina
Cabazitaxel Alemania, Dinamarca, España, Finlandia
Cecalter Argentina
Jevtana Alemania, Argentina, Australia, Bélgica, Brasil, Canadá, Chile, Colombia, Dinamarca, Ecuador, Eslovenia, España, Estados Unidos de América, Finlandia, Francia, Gran Bretaña, Islandia, Italia, Malasia, Marruecos, México, Noruega, Rumania, Suiza, Turquía
Proazitax Brasil
Xatiza Chile
Zitat Argentina
Estabilidad en solucion   Inyectables   Estabilidad en solucion : Cabazitaxel     
Envase Solvente Concentración Temperatura Conservación Duración de la estabilidad Bibliografía
Vidrio Ninguno 10 mg/ml 4°C A cubierto de la luz
28 Día
3804
Nivel de evidencia A

Vidrio específico disolvente 10 mg/ml -20°C No precisada
49 Día
4800
Nivel de evidencia A

botellas parcialmente usadas Ninguno 20 mg/ml 25°C A cubierto de la luz
28 Día
4761
Nivel de evidencia A

Polietileno Cloruro de sodio 0,9% 0,1 >>0,26 mg/ml 25°C A cubierto de la luz
28 Día
4761
Nivel de evidencia A

Polietileno Glucosa 5% 0,1 >>0,26 mg/ml 25°C A cubierto de la luz
28 Día
4761
Nivel de evidencia A

Polipropileno Cloruro de sodio 0,9% 0,1 >>0,26 mg/ml 2-8°C A cubierto de la luz
28 Día
4761
Nivel de evidencia A

Polipropileno Glucosa 5% 0,1 >>0,26 mg/ml 2-8°C A cubierto de la luz
28 Día
4761
Nivel de evidencia A

Poliolefina Cloruro de sodio 0,9% 0,1 mg/ml -20°C No precisada
49 Día
4800
Nivel de evidencia A

Poliolefina Cloruro de sodio 0,9% 0,1 mg/ml 25°C No precisada
21 Día
4800
Nivel de evidencia A

Poliolefina Cloruro de sodio 0,9% 0,1 mg/ml 4°C No precisada
21 Día
4800
Nivel de evidencia A

Poliolefina Cloruro de sodio 0,9% 0,1 >>0,26 mg/ml 25°C A cubierto de la luz
28 Día
4761
Nivel de evidencia A

Poliolefina Cloruro de sodio 0,9% 0,10 >> 0,26 mg/ml 2-8°C No precisada
48 Hora
3237
Datos de estabilidad del fabricante

Poliolefina Cloruro de sodio 0,9% 0,10 >> 0,26 mg/ml 25°C No precisada
8 Hora
3237
Datos de estabilidad del fabricante

Poliolefina Cloruro de sodio 0,9% 0,15 mg/ml 25°C A cubierto de la luz
28 Día
3804
Nivel de evidencia A

Poliolefina Cloruro de sodio 0,9% 0,15 mg/ml 4°C A cubierto de la luz
28 Día
3804
Nivel de evidencia A

Poliolefina Cloruro de sodio 0,9% 0,26 mg/ml -20°C No precisada
49 Día
4800
Nivel de evidencia A

Poliolefina Cloruro de sodio 0,9% 0,26 mg/ml 25°C No precisada
21 Día
4800
Nivel de evidencia A

Poliolefina Cloruro de sodio 0,9% 0,26 mg/ml 4°C No precisada
21 Día
4800
Nivel de evidencia A

Poliolefina Glucosa 5% 0,1 mg/ml -20°C No precisada
49 Día
4800
Nivel de evidencia A

Poliolefina Glucosa 5% 0,1 mg/ml 25°C No precisada
21 Día
4800
Nivel de evidencia A

Poliolefina Glucosa 5% 0,1 mg/ml 4°C No precisada
21 Día
4800
Nivel de evidencia A

Poliolefina Glucosa 5% 0,1 >>0,26 mg/ml 25°C A cubierto de la luz
28 Día
4761
Nivel de evidencia A

Poliolefina Glucosa 5% 0,10 >> 0,26 mg/ml 2-8°C No precisada
48 Hora
3237
Datos de estabilidad del fabricante

Poliolefina Glucosa 5% 0,10 >> 0,26 mg/ml 25°C No precisada
8 Hora
3237
Datos de estabilidad del fabricante

Poliolefina Glucosa 5% 0,26 mg/ml -20°C No precisada
49 Día
4800
Nivel de evidencia A

Poliolefina Glucosa 5% 0,26 mg/ml 25°C No precisada
21 Día
4800
Nivel de evidencia A

Poliolefina Glucosa 5% 0,26 mg/ml 4°C No precisada
21 Día
4800
Nivel de evidencia A


  Mentions Légales