Cập nhật lần cuối :
17/12/2025
Thuốc chống nấm   Amphotericin B  
Khí dung
Dạng tiêm Dung dịch uống Thuốc nhỏ mắt Thuốc súc miệng
Tính ổn định của các chế phẩm Độ ổn định khi trộn lẫn Những yếu tố ảnh hưởng đến độ ổn định Khả năng tương thích Tài liệu tham khảo Pdf
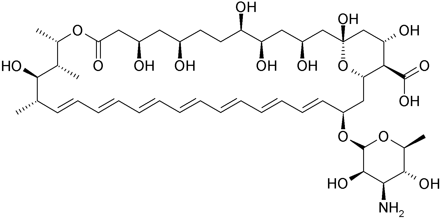
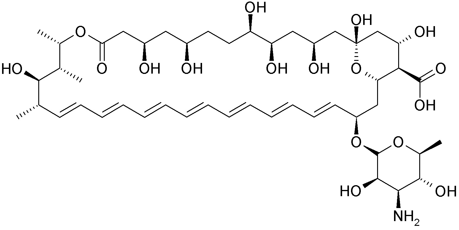
   Cấu trúc hóa học  

Khí dung
Tính ổn định của các chế phẩm   Khí dung   Tính ổn định của các chế phẩm : Amphotericin B     
Bao bì Nguyên bản Tá dược Nhiệt độ Bảo quản Thời gian ổn định Mục lục
Thủy tinh Lọ thuốc tiêm 50 mg
Fungizona® (Squibb Industria Farmaceutica)
Nước pha tiêm >> 50 ml
20-25°C Có hoặc không có tiếp xúc với ánh sáng
30 Ngày
3069

Thủy tinh Lọ thuốc tiêm 50 mg
Fungizona® (Squibb Industria Farmaceutica)
Nước pha tiêm >> 50 ml
4-8°C Tránh ánh sáng
30 Ngày
3069


  Mentions Légales