Dernière mise à jour :
27/11/2025
Antifongique   Amphotericin B  
Aérosol
Collyre Gargarisme injectable Solution buvable
Stabilité des préparations Stabilité en mélange Facteur influençant la stabilité Compatibilités Bibliographie pdf
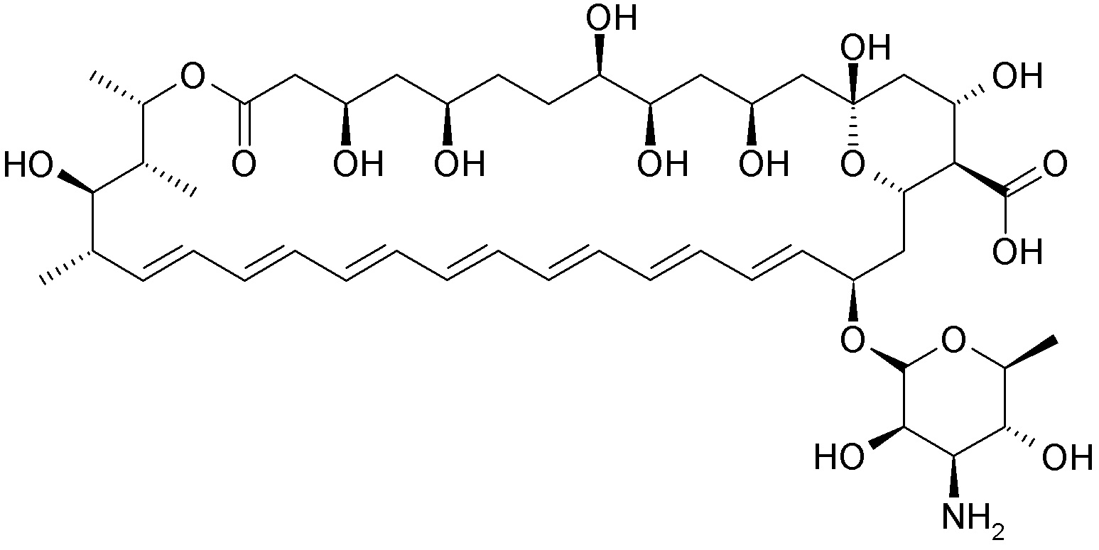
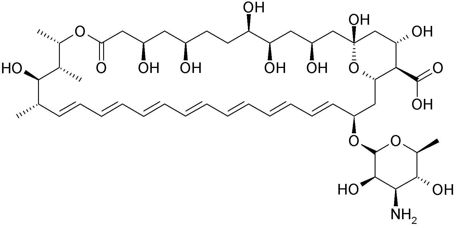
   Structure chimique  

Aérosol
Stabilité des préparations   Aérosol   Stabilité des préparations : Amphotericin B     
Contenant Origine Excipient Température Conservation Durée de stabilité Bibliographie
Verre Flacon injectable 50 mg
Fungizona® (Squibb Industria Farmaceutica)
Eau ppi >> 50 ml
20-25°C Avec ou sans lumière
30 Jour
3069

Verre Flacon injectable 50 mg
Fungizona® (Squibb Industria Farmaceutica)
Eau ppi >> 50 ml
4-8°C A l’abri de la lumière
30 Jour
3069


  Mentions Légales