Pēdējā atjaunošana :
17/12/2025
Pretsēnīšu līdzeklis   Amphotericin B  
Aerosols
Acu pilieni Injekcija Mutes skalojamais līdzeklis Orāls šķīdums
Stabilitāte farmaceitisko preparātu Maisījuma stabilitāte Stabilitāti ietekmējoši faktori Saderība Literatūras saraksts pdf
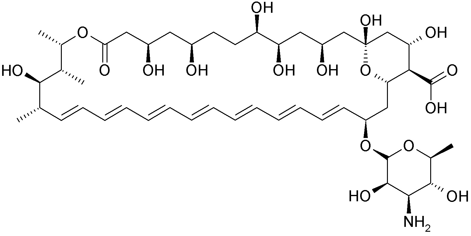
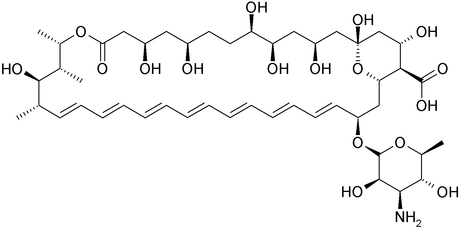
   Ķīmiskā uzbūve   

Aerosols
Stabilitāte farmaceitisko preparātu   Aerosols   Stabilitāte farmaceitisko preparātu : Amphotericin B     
Iepakojums Origine Palīgviela Temperatūra Glabāšana Stabilitātes ilgums Literatūras saraksts
Stikls Medicīniskā pudele injekcijām 50 mg
Fungizona® (Squibb Industria Farmaceutica)
Injekciju ūdens >> 50 ml
20-25°C Ar vai bez gaismas
30 Diena
3069

Stikls Medicīniskā pudele injekcijām 50 mg
Fungizona® (Squibb Industria Farmaceutica)
Injekciju ūdens >> 50 ml
4-8°C Aizsargāt no gaismas
30 Diena
3069


  Mentions Légales