Utolsó frissítés :
27/11/2025
Gombaellenes szer   Amphotericin B  
aeroszol
belsőleges oldat Injekció Szájvíz Szemcsepp
Stabilitása gyógyszerészeti készítmények A keverékek stabilitása Stabilitást befolyásoló tényezők Kompatibilitás Irodalom pdf
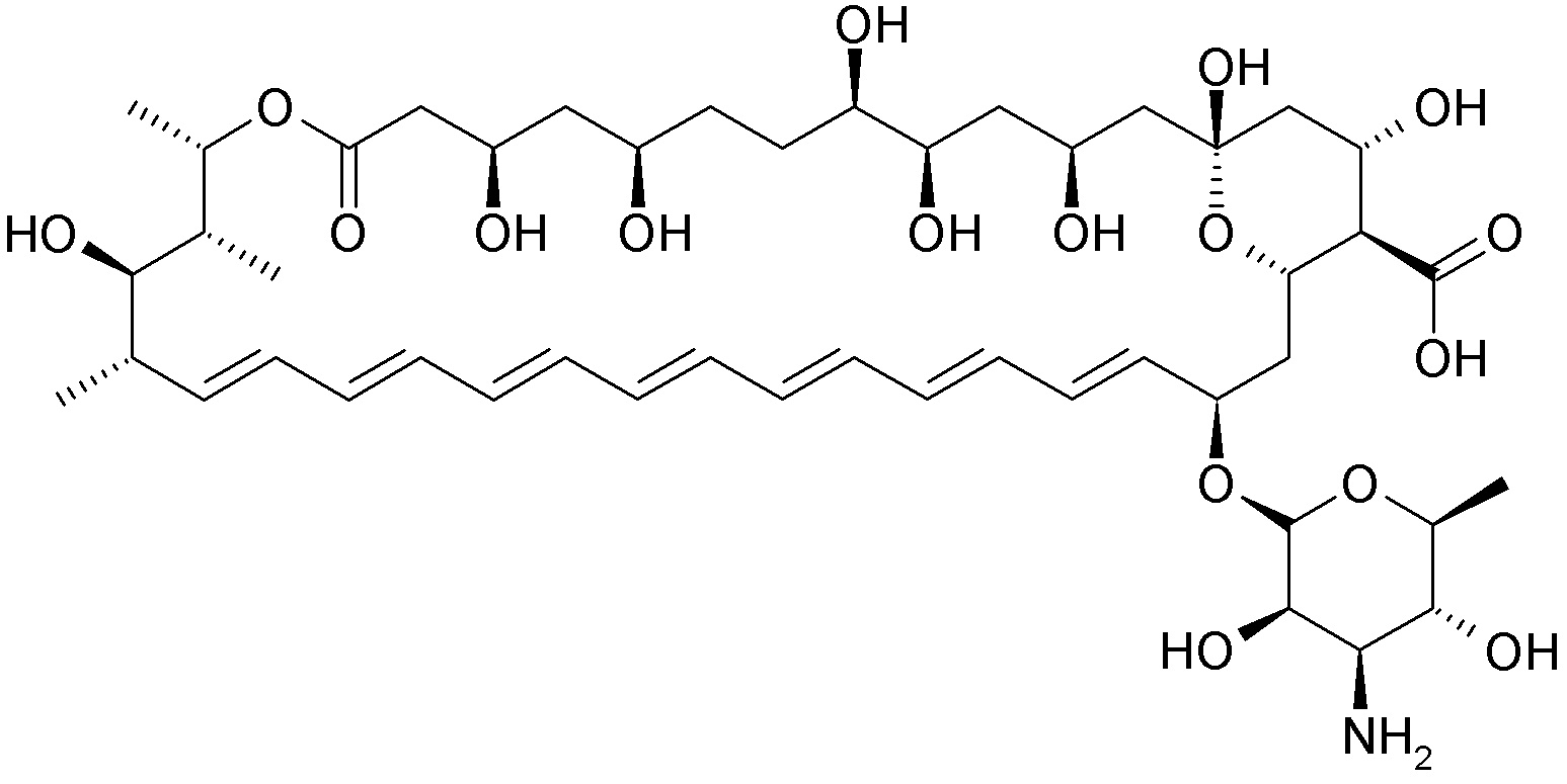
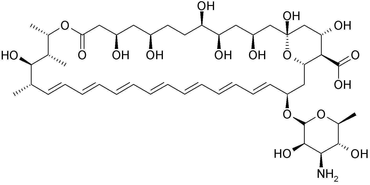
   Kémiai szerkezet   

aeroszol
Stabilitása gyógyszerészeti készítmények   aeroszol   Stabilitása gyógyszerészeti készítmények : Amphotericin B     
Csomagolás Origine segédanyag Hőmérséklet Tárolás A stabilitás időtartama Irodalom
Üveg Injekcióhoz való űveg 50 mg
Fungizona® (Squibb Industria Farmaceutica)
injekcióhoz való víz >> 50 ml
20-25°C Fénnyel vagy anélkül
30 Nap
3069

Üveg Injekcióhoz való űveg 50 mg
Fungizona® (Squibb Industria Farmaceutica)
injekcióhoz való víz >> 50 ml
4-8°C Fénytől védve tartandó
30 Nap
3069


  Mentions Légales