Laatste update :
27/11/2025
Antimycoticum   Amphotericin B  
Aerosol
gorgelen injecteerbaar geneesmiddel Oogwater Orale Oplossing
Stabiliteit van farmaceutische preparaten Stabiliteit in mengsels Factoren die de stabiliteit beïnvloeden Verenigbaarheden Literatuur pdf
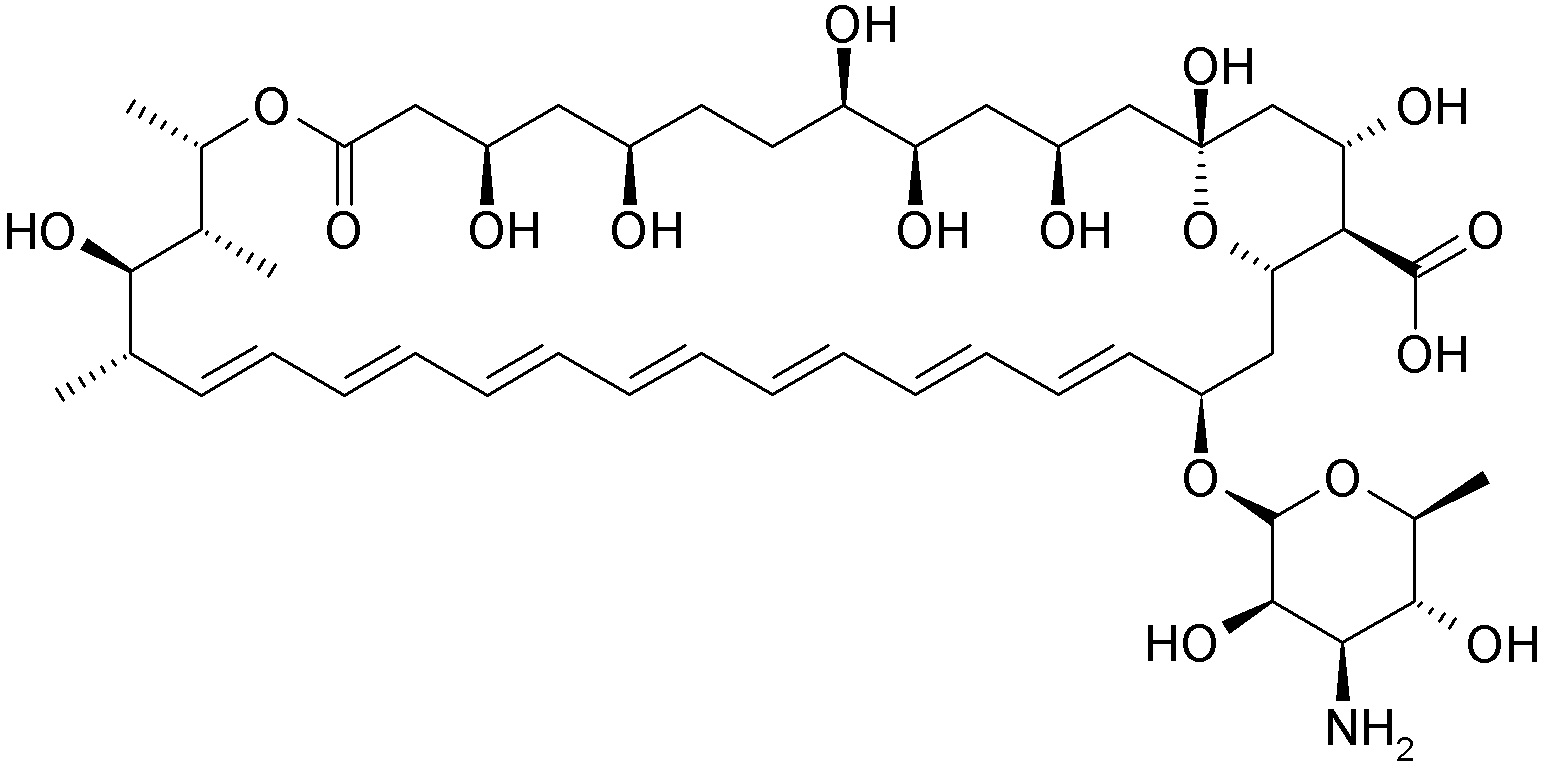
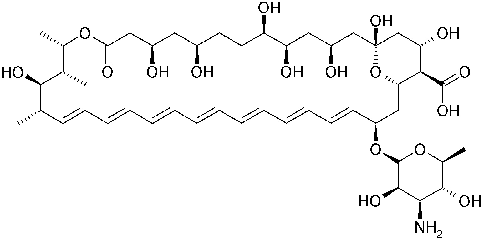
   Molecuulstructuur  

Aerosol
Stabiliteit van farmaceutische preparaten   Aerosol   Stabiliteit van farmaceutische preparaten : Amphotericin B     
Verpakking Origine  ikˈsipēənt hulpstof Temperatuur Bewaring Duur van de stabiliteit Literatuur
Glas Geneeskunde fles voor injectie 50 mg
Fungizona® (Squibb Industria Farmaceutica)
water voor injectie >> 50 ml
20-25°C Met of zonder licht
30 Dag
3069

Glas Geneeskunde fles voor injectie 50 mg
Fungizona® (Squibb Industria Farmaceutica)
water voor injectie >> 50 ml
4-8°C Buiten invloed van licht
30 Dag
3069


  Mentions Légales