Останнє оновлення :
27/11/2025
Протигрибковий   Amphotericin B  
аерозоль
ін'єкція Ополіскувач ротової порожнини Очні краплі Розчин для перорального застосування
Стабільність фармацевтичних препаратів Стійкість сумішей Фактори, що впливають на стабільність Сумісність Список літератури pdf
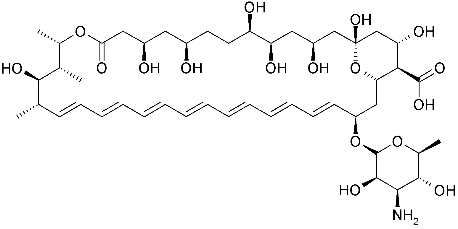
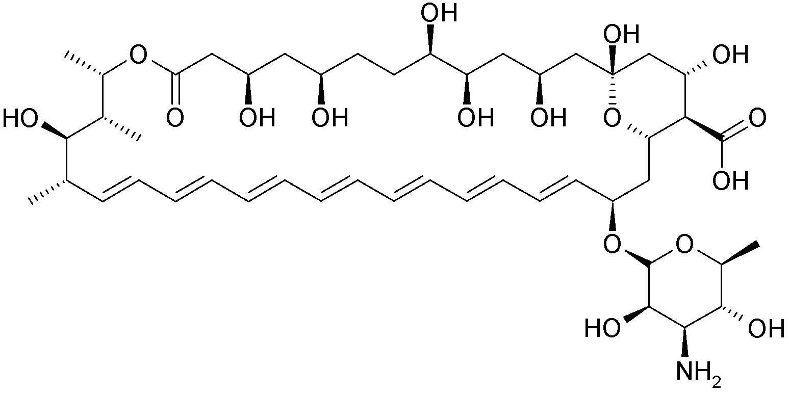
   Хімічна структура  

аерозоль
Стабільність фармацевтичних препаратів   аерозоль   Стабільність фармацевтичних препаратів : Amphotericin B     
Контейнер Origine допоміжна речовина температура Зберігання Тривалість стабільності Список літератури
скло Пляшка для ін'єкцій 50 mg
Fungizona® (Squibb Industria Farmaceutica)
Вода для ін'єкцій >> 50 ml
20-25°C Зі світлом чи без
30 День
3069

скло Пляшка для ін'єкцій 50 mg
Fungizona® (Squibb Industria Farmaceutica)
Вода для ін'єкцій >> 50 ml
4-8°C Берегти від світла
30 День
3069


  Mentions Légales